Skip to Content
MilliporeSigma

804282

SPhos Pd G4

95%, powder

Synonym(s):

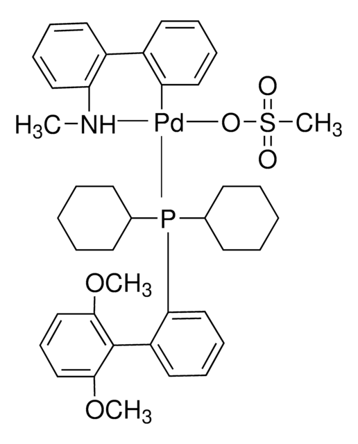
(Methanesulfonato-κO)[2′-(methylamino)-2-biphenylyl]palladium - dicyclohexyl(2′,6′-dimethoxy-2-biphenylyl)phosphine

Sign In to View Organizational & Contract Pricing.

Select a Size

Change View

About This Item

Empirical Formula (Hill Notation):
C40H50NO5PPdS
CAS Number:
Molecular Weight:
794.29
MDL number:
UNSPSC Code:
12161600
PubChem Substance ID:
NACRES:
NA.22
Technical Service
Need help? Our team of experienced scientists is here for you.
Let Us Assist


Product Name

SPhos Pd G4,

Quality Level

product line

Buchwald precatalyst Generation 4

assay

95%

form

powder

feature

generation 4

reaction suitability

core: palladium, reaction type: Buchwald-Hartwig Cross Coupling Reaction, reaction type: Heck Reaction, reaction type: Hiyama Coupling, reaction type: Negishi Coupling, reaction type: Sonogashira Coupling, reaction type: Stille Coupling, reaction type: Suzuki-Miyaura Coupling, reagent type: catalyst
reaction type: Cross Couplings

functional group

phosphine

SMILES string

CNC1=C(C2=C([Pd]OS(=O)(C)=O)C=CC=C2)C=CC=C1.COC3=CC=CC(OC)=C3C4=CC=CC=C4P(C5CCCCC5)C6CCCCC6

InChI

1S/C26H35O2P.C13H12N.CH4O3S.Pd/c1-27-23-17-11-18-24(28-2)26(23)22-16-9-10-19-25(22)29(20-12-5-3-6-13-20)21-14-7-4-8-15-21;1-14-13-10-6-5-9-12(13)11-7-3-2-4-8-11;1-5(2,3)4;/h9-11,16-21H,3-8,12-15H2,1-2H3;2-7,9-10,14H,1H3;1H3,(H,2,3,4);/q;;;+1/p-1

InChI key

ISSWOKPFLWDXSU-UHFFFAOYSA-M

General description

SPhos Pd G4 is a versatile 4th generation palladium precatalyst developed by Buchwald group.


Storage Class

11 - Combustible Solids

wgk

WGK 3

flash_point_f

Not applicable

flash_point_c

Not applicable



Choose from one of the most recent versions:

Certificates of Analysis (COA)

Lot/Batch Number

It looks like we've run into a problem, but you can still download Certificates of Analysis from our Documents section.

If you need assistance, please contact Customer Support

Already Own This Product?

Find documentation for the products that you have recently purchased in the Document Library.

Visit the Document Library


Articles

G3 and G4 Buchwald palladium precatalysts are the newest air, moisture, and thermally stable crossing-coupling complexes used in bond formation for their versatility and high reactivity.





Global Trade Item Number

SKUGTIN
804282-100MG04061833232385
804282-1G04061826647547
804282-5G04065272826464