Skip to Content
MilliporeSigma

799580

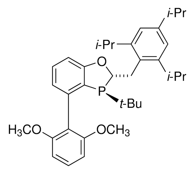
HandaPhos

greener alternative

≥95%, powder

Synonym(s):

(2S,3S)-4-(2,6-Dimethoxyphenyl)-3-(2-methyl-2-propanyl)-2-(2,4,6-triisopropylbenzyl)-2,3-dihydro-1,3-benzoxaphosphole

Sign In to View Organizational & Contract Pricing.

Select a Size

Change View

About This Item

Empirical Formula (Hill Notation):
C35H47O3P
CAS Number:
Molecular Weight:
546.72
UNSPSC Code:
12350000
NACRES:
NA.22
Technical Service
Need help? Our team of experienced scientists is here for you.
Let Us Assist


Product Name

HandaPhos, ≥95%

Quality Level

product line

Buchwald Ligand

assay

≥95%

form

powder

reaction suitability

reaction type: Buchwald-Hartwig Cross Coupling Reaction, reaction type: Heck Reaction, reaction type: Hiyama Coupling, reaction type: Negishi Coupling, reaction type: Sonogashira Coupling, reaction type: Stille Coupling, reaction type: Suzuki-Miyaura Coupling, reagent type: ligand

greener alternative product characteristics

Catalysis
Learn more about the Principles of Green Chemistry.

sustainability

Greener Alternative Product

functional group

phosphine

greener alternative category

storage temp.

2-8°C

SMILES string

COC(C=CC=C1OC)=[C@]1[C@@]2=C([P@](C(C)(C)C)[C@@H](CC3=C(C(C)C)C=C(C(C)C)C=C3C(C)C)O4)C4=CC=C2

InChI

1S/C35H47O3P/c1-21(2)24-18-26(22(3)4)28(27(19-24)23(5)6)20-32-38-31-17-12-14-25(34(31)39(32)35(7,8)9)33-29(36-10)15-13-16-30(33)37-11/h12-19,21-23,32H,20H2,1-11H3/t32-,39?/m0/s1

InChI key

RXGMKJPMNONITA-DKHGMYDOSA-N

General description

We are committed to bringing you Greener Alternative Products, which adhere to one or more of The 12 Principles of Greener Chemistry. This product has been enhanced for catalytic efficiency. Click here for more information.

Application

HandaPhos forms a 1:1 complex with Pd(OAc)2 thereby arriving at a pre-catalyst, used at the ppm level, that enables Suzuki-Miyaura cross-couplings to be run under micellar catalysis in water at room temperature. To be used in tandem with Designer Surfactant TPGS-750-M.


Storage Class

11 - Combustible Solids

wgk

WGK 3

flash_point_f

Not applicable

flash_point_c

Not applicable



Choose from one of the most recent versions:

Certificates of Analysis (COA)

Lot/Batch Number

It looks like we've run into a problem, but you can still download Certificates of Analysis from our Documents section.

If you need assistance, please contact Customer Support

Already Own This Product?

Find documentation for the products that you have recently purchased in the Document Library.

Visit the Document Library


Related Content

La plataforma Catalexis mejora la catálisis al optimizar digitalmente la selección de catalizadores para identificar los ligandos de fosfina más eficaces para las reacciones de acoplamiento cruzado.

The Catalexis platform enhances catalysis by digitally optimizing catalyst selection to identify the most effective phosphine ligands for cross-coupling reactions.





Global Trade Item Number

SKUGTIN
799580-100MG04061833232293
799580-25MG04061833232309