Skip to Content
MilliporeSigma

763551

Sigma-Aldrich

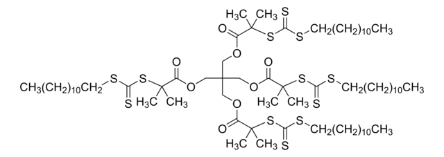
Pentaerythritol tetrakis[2-(dodecylthiocarbonothioylthio)-2-methylpropionate]

97% (HPLC)

Synonym(s):

4 arm start DDMAT RAFT agent

Sign Into View Organizational & Contract Pricing

Select a Size


About This Item

Empirical Formula (Hill Notation):
C73H132O8S12
Molecular Weight:
1522.60
MDL number:
UNSPSC Code:
12352100
PubChem Substance ID:
NACRES:
NA.23
Technical Service
Need help? Our team of experienced scientists is here for you.
Let Us Assist
Technical Service
Need help? Our team of experienced scientists is here for you.
Let Us Assist

Quality Level

assay

97% (HPLC)

form

solid

mp

30-34 °C

storage temp.

2-8°C

SMILES string

CCCCCCCCCCCCSC(=S)SC(C)(C)C(=O)OCC(COC(=O)C(C)(C)SC(=S)SCCCCCCCCCCCC)(COC(=O)C(C)(C)SC(=S)SCCCCCCCCCCCC)COC(=O)C(C)(C)SC(=S)SCCCCCCCCCCCC

InChI

1S/C73H132O8S12/c1-13-17-21-25-29-33-37-41-45-49-53-86-65(82)90-69(5,6)61(74)78-57-73(58-79-62(75)70(7,8)91-66(83)87-54-50-46-42-38-34-30-26-22-18-14-2,59-80-63(76)71(9,10)92-67(84)88-55-51-47-43-39-35-31-27-23-19-15-3)60-81-64(77)72(11,12)93-68(85)89-56-52-48-44-40-36-32-28-24-20-16-4/h13-60H2,1-12H3

InChI key

ONXYMIIQXBMPMD-UHFFFAOYSA-N

Related Categories

General description

Functionalized RAFT agent for controlled radical polymerization; especially suited for the polymerization of styrene; acrylate and acrylamide monomers. For use in advanced material (rheology; etc) and biomaterial (nanomedicine) applications. Chain Transfer Agent (CTA)
Need help choosing the correct RAFT Agent? Please consult the RAFT Agent to Monomer compatibility table.

Application

Reversible Addition Fragmentation Chain Transfer (RAFT) Polymerization

Storage Class

11 - Combustible Solids

wgk_germany

WGK 3

flash_point_f

Not applicable

flash_point_c

Not applicable


Choose from one of the most recent versions:

Certificates of Analysis (COA)

Lot/Batch Number

Don't see the Right Version?

If you require a particular version, you can look up a specific certificate by the Lot or Batch number.

Already Own This Product?

Find documentation for the products that you have recently purchased in the Document Library.

Visit the Document Library

Massimo Benaglia et al.
Journal of the American Chemical Society, 131(20), 6914-6915 (2009-05-01)
The polymerization of most monomers that are polymerizable by radical polymerization can be controlled by the reversible addition-fragmentation chain transfer (RAFT) process. However, it is usually required that the RAFT agent be selected according to the types of monomer being

Articles

The modification of biomacromolecules, such as peptides and proteins, through the attachment of synthetic polymers has led to a new family of highly advanced biomaterials with enhanced properties.

Our team of scientists has experience in all areas of research including Life Science, Material Science, Chemical Synthesis, Chromatography, Analytical and many others.

Contact Technical Service