735817
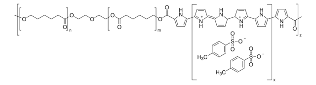
Polypyrrole-block-poly(caprolactone)
0.3-0.7 wt. % (dispersion in nitromethane), contains p-toluenesulfonate as dopant
Synonym(s):
Biotron PP-NM, Nanopatterning, block-copolymers, PCL-block-PPy
Select a Size
About This Item
description
Electrodes
Quality Level
form
liquid (dispersion)
contains
p-toluenesulfonate as dopant
composition
Biotron PP polymer, 0.3-0.7 wt. %
ethanol, 4-8 wt. %
nitromethane, 90-95 wt. %
concentration
0.3-0.7 wt. % (dispersion in nitromethane)
conductivity
10-40 S/cm (bulk)
Related Categories
General description
Average transmittance: 70-90%
Biodegradble conducting polymer for bomedical applications. PCL diol blocks have average molecular weight 2000 and PPy block have an average molecular weight of 4000 with a 25% doping level. Good biocompatibility with expected weight loss of 40% at 200 days in pH=7 buffer.
Application
Features and Benefits
Other Notes
Legal Information
Disclaimer
signalword
Danger
Hazard Classifications
Acute Tox. 4 Inhalation - Acute Tox. 4 Oral - Carc. 2 - Flam. Liq. 2 - Repr. 2
Storage Class
3 - Flammable liquids
wgk_germany
WGK 2
flash_point_f
66.9 °F
flash_point_c
19.4 °C
Choose from one of the most recent versions:
Already Own This Product?
Find documentation for the products that you have recently purchased in the Document Library.
Biomedical Applications
Articles
The application of conducting polymers at the interface with biology is an exciting new trend in organic electronics research.
Self-healing soft electronic materials offer potential cost savings and reduced electronic waste.
Organic materials in optoelectronic devices like LEDs and solar cells are of significant academic and commercial interest.
While dye sensitization as the basis for color photography has been accepted for a very long time,1 attempts to use this principle for the conversion of solar light to electricity generally had resulted only in very low photocurrents, below 100 nA/cm
Our team of scientists has experience in all areas of research including Life Science, Material Science, Chemical Synthesis, Chromatography, Analytical and many others.
Contact Technical Service

