Skip to Content
MilliporeSigma

705225

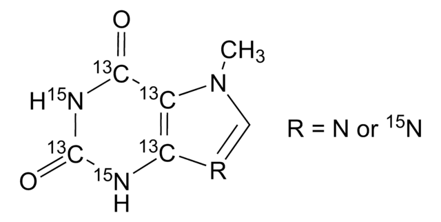
7-Methylxanthine-2,4,5,6-13C4, 1,3-15N2 (with variable 15N labeling at N9)

≥98 atom %, ≥98% (CP)

Synonym(s):

2,6-Dihydroxy-7-methylpurine-2,4,5,6-13C4, 1,3-15N2 (partial 15N labeling at N9)

Sign In to View Organizational & Contract Pricing.

Select a Size

Change View

About This Item

Empirical Formula (Hill Notation):
13C4C2H615N2N2O2
Molecular Weight:
172.09
NACRES:
NA.24
PubChem Substance ID:
UNSPSC Code:
12352200
MDL number:
Isotopic purity:
≥98 atom %
Assay:
≥98% (CP)
Mass shift:
M+7
Form:
powder
Technical Service
Need help? Our team of experienced scientists is here for you.
Let Us Assist


isotopic purity

≥98 atom %

Quality Level

assay

≥98% (CP)

form

powder

technique(s)

mass spectrometry (MS): suitable

mp

≥300 °C

mass shift

M+7

SMILES string

Cn1c[15n][13c]2[15NH][13C](=O)[15NH][13C](=O)[13c]12

InChI

1S/C6H6N4O2/c1-10-2-7-4-3(10)5(11)9-6(12)8-4/h2H,1H3,(H2,8,9,11,12)/i3+1,4+1,5+1,6+1,7+1,8+1,9+1

InChI key

PFWLFWPASULGAN-JVYICBGUSA-N

Packaging

This product may be available from bulk stock and can be packaged on demand. For information on pricing, availability and packaging, please contact Stable Isotopes Customer Service.


Storage Class

11 - Combustible Solids

wgk

WGK 2

flash_point_f

Not applicable

flash_point_c

Not applicable



Choose from one of the most recent versions:

Certificates of Analysis (COA)

Lot/Batch Number

It looks like we've run into a problem, but you can still download Certificates of Analysis from our Documents section.

If you need assistance, please contact Customer Support

Already Own This Product?

Find documentation for the products that you have recently purchased in the Document Library.

Visit the Document Library



Global Trade Item Number

SKUGTIN
705225-2MG04061833239261
705225-5MG04061833239285