Sign In to View Organizational & Contract Pricing.
About This Item
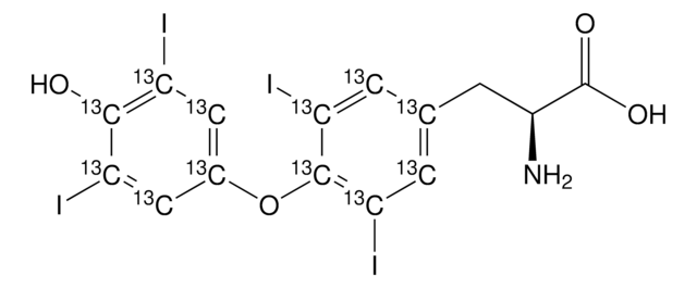
Linear Formula:
HO13C6H2(I)2O13C6H2(I)2CH2CH(NH2)CO2H
Molecular Weight:
788.78
UNSPSC Code:
12352101
PubChem Substance ID:
MDL number:
Isotopic purity:
99 atom % 13C
Assay:
97% (CP)
Mass shift:
M+12
Form:
powder
isotopic purity
99 atom % 13C
assay
97% (CP)
form
powder
technique(s)
mass spectrometry (MS): suitable
mp
223 °C (dec.) (lit.)
mass shift
M+12
storage temp.
2-8°C
SMILES string
N[C@@H](C[13c]1[13cH][13c](I)[13c](O[13c]2[13cH][13c](I)[13c](O)[13c](I)[13cH]2)[13c](I)[13cH]1)C(O)=O
InChI
1S/C15H11I4NO4/c16-8-4-7(5-9(17)13(8)21)24-14-10(18)1-6(2-11(14)19)3-12(20)15(22)23/h1-2,4-5,12,21H,3,20H2,(H,22,23)/t12-/m0/s1/i1+1,2+1,4+1,5+1,6+1,7+1,8+1,9+1,10+1,11+1,13+1,14+1
InChI key
XUIIKFGFIJCVMT-HTYRUWRGSA-N
Packaging
This product may be available from bulk stock and can be packaged on demand. For information on pricing, availability and packaging, please contact Stable Isotopes Customer Service.
Other Notes
Bulk stock may be available for this product. Please contact the Stable Isotope Customer Service Group for pricing, availability and packaging at 937-859-1808 (1-800-448-9760 for US & Canada) or email us at isosales@sial.com
signalword
Danger
hcodes
Hazard Classifications
STOT RE 1
target_organs
Thyroid,Cardio-vascular system,Kidney
Storage Class
6.1C - Combustible acute toxic Cat.3 / toxic compounds or compounds which causing chronic effects
wgk
WGK 3
flash_point_f
Not applicable
flash_point_c
Not applicable
Choose from one of the most recent versions:
Already Own This Product?
Find documentation for the products that you have recently purchased in the Document Library.
