587869
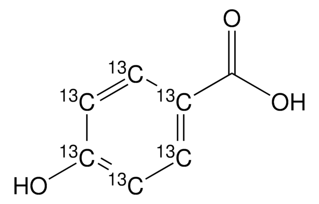
4-Hydroxybenzoic acid-(phenyl-13C6)
99 atom % 13C
Sign Into View Organizational & Contract Pricing
About This Item
Linear Formula:
HO13C6H4COOH
CAS Number:
Molecular Weight:
144.08
MDL number:
UNSPSC Code:
12352002
PubChem Substance ID:
isotopic purity
99 atom % 13C
form
solid
mp
214-215 °C (lit.)
mass shift
M+6
SMILES string
O[13C]1=[13CH][13CH]=[13C](C(O)=O)[13CH]=[13CH]1
InChI
1S/C7H6O3/c8-6-3-1-5(2-4-6)7(9)10/h1-4,8H,(H,9,10)/i1+1,2+1,3+1,4+1,5+1,6+1
InChI key
FJKROLUGYXJWQN-IDEBNGHGSA-N
Related Categories
Packaging
This product may be available from bulk stock and can be packaged on demand. For information on pricing, availability and packaging, please contact Stable Isotopes Customer Service.
signalword
Warning
hcodes
Hazard Classifications
Eye Irrit. 2 - Skin Irrit. 2 - STOT SE 3
target_organs
Respiratory system
Storage Class
11 - Combustible Solids
wgk_germany
WGK 3
flash_point_f
Not applicable
flash_point_c
Not applicable
ppe
dust mask type N95 (US), Eyeshields, Gloves
Choose from one of the most recent versions:
Already Own This Product?
Find documentation for the products that you have recently purchased in the Document Library.
Cinzia Fino et al.
MicrobiologyOpen, 9(8), e1064-e1064 (2020-06-20)
Antibiotic-tolerant persisters are often implicated in treatment failure of chronic and relapsing bacterial infections, but the underlying molecular mechanisms have remained elusive. Controversies revolve around the relative contribution of specific genetic switches called toxin-antitoxin (TA) modules and global modulation of
Mahmoud Hajj Chehade et al.
Cell chemical biology, 26(4), 482-492 (2019-01-29)
Ubiquinone (UQ) is a polyprenylated lipid that is conserved from bacteria to humans and is crucial to cellular respiration. How the cell orchestrates the efficient synthesis of UQ, which involves the modification of extremely hydrophobic substrates by multiple sequential enzymes
Our team of scientists has experience in all areas of research including Life Science, Material Science, Chemical Synthesis, Chromatography, Analytical and many others.
Contact Technical Service