Skip to Content
MilliporeSigma

541443

Sigma-Aldrich

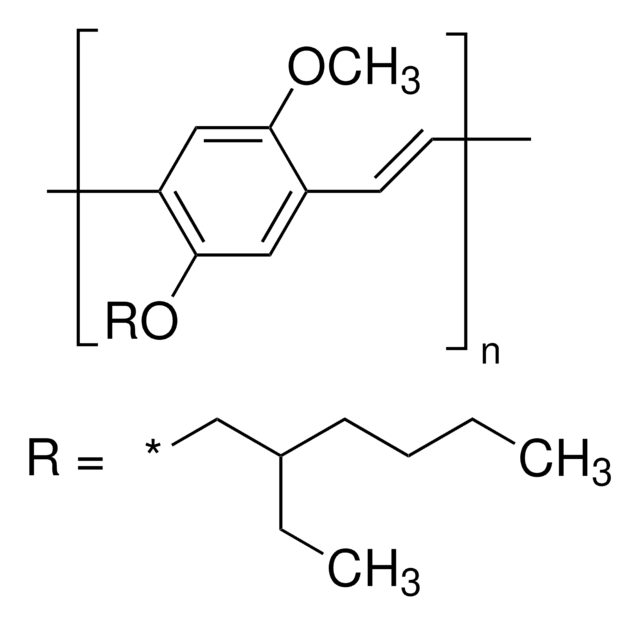
Poly[2-methoxy-5-(2-ethylhexyloxy)-1,4-phenylenevinylene]

average Mn 40,000-70,000

Synonym(s):

MEH-PPV

Sign Into View Organizational & Contract Pricing

Select a Size


About This Item

Linear Formula:
(C18H28O2)n
CAS Number:
MDL number:
UNSPSC Code:
12352103
NACRES:
NA.23
Technical Service
Need help? Our team of experienced scientists is here for you.
Let Us Assist
Technical Service
Need help? Our team of experienced scientists is here for you.
Let Us Assist

description

Band gap: 2.3 eV

Quality Level

mol wt

average Mn 40,000-70,000

fluorescence

λex 493 nm; λem 554 nm in toluene

orbital energy

HOMO -5.3 eV 
LUMO -3 eV 

OLED device performance

ITO/PEDOT:PSS/MEH-PPV/Al

  • Color: orange-red
  • Max. Luminance: 220 Cd/m2
  • Max. EQE: 0.3 %
  • Turn-On Voltage: 3.8 V

ITO/PEDOT:PSS/MEH-PPV/PBO/Al
  • Color: orange-red
  • Max. Luminance: 970 Cd/m2
  • Max. EQE: 1.9 %
  • Turn-On Voltage: 2.9 V

ITO/PEDOT:PSS/MEH-PPV/PBZT/Al
  • Color: orange-red
  • Max. Luminance: 1400 Cd/m2
  • Max. EQE: 2.5 %
  • Turn-On Voltage: 2.8 V

OPV device performance

ITO/MEH-PPV/BBL/Al

  • Short-circuit current density (Jsc): 1.98 mA/cm2
  • Open-circuit voltage (Voc): 0.93 V
  • Fill Factor (FF): 0.47
  • Power Conversion Efficiency (PCE): 1.1 %

ITO/MEH-PPV:PC61BM(1:4)/Ca
  • Short-circuit current density (Jsc): 2 mA/cm2
  • Open-circuit voltage (Voc): 0.8 V
  • Fill Factor (FF): 0.25
  • Power Conversion Efficiency (PCE): 1.5 %

Mw/Mn

~6

storage temp.

2-8°C

SMILES string

O(CC(CCCC)CC)c1cc(c(cc1)OC)C=C

InChI

1S/C17H26O2/c1-5-8-9-14(6-2)13-19-16-10-11-17(18-4)15(7-3)12-16/h7,10-12,14H,3,5-6,8-9,13H2,1-2,4H3

InChI key

CTUSWJPWMNVXEE-UHFFFAOYSA-N

General description

Light-emitting conjugated polymer.
MEH-PPV is a conducting organic semiconductor which has low molecular weight and hydrophobic characteristics. It is a poly(phenylenevinylene) (PPV) derivative and a conjugating polymer with highest occupied molecular orbital (HOMO) below the fermi level of gold.

Application

Conducting polymer in solar cells and carbon nanotube OLEDs. Useful in producing bright and efficient white polymeric light emitting diodes.
Filter before application.
MEH-PPV can form a nanocomposite with carbon nanotubes (CNTs) by spin coating that can be used for H2S gas sensors. It can also be used as a conducting polymer which results in the formation of a low-cost dopant free hole transporting material (HTM) for the fabrication of perovskite solar cells with a power efficiency of 9.65%. MEH-PPV can be blended with PCPDTBT for use as a sensitizer for dye sensitized photo sensors (DSPS).

Storage Class

11 - Combustible Solids

wgk_germany

WGK 3

flash_point_f

Not applicable

flash_point_c

Not applicable

ppe

Eyeshields, Gloves, type N95 (US)


Choose from one of the most recent versions:

Certificates of Analysis (COA)

Lot/Batch Number

Don't see the Right Version?

If you require a particular version, you can look up a specific certificate by the Lot or Batch number.

Already Own This Product?

Find documentation for the products that you have recently purchased in the Document Library.

Visit the Document Library

Enhancement of MEH-PPV: CNT for H2S gas sensor.
Ibrahim IM, et al.
Journal of Physics. Conference Series, 1032(1), 012003-012003 (2018)
Photoelectrochemical properties of ZnO nanocrystals/MEH-PPV composite: The effects of nanocrystals synthetic route, film deposition and electrolyte composition.
Petrella A, et al.
Thin Solid Films, 595, 157-163 (2015)
Shen, F.; et al.
Semiconductor Science and Technology, 22, L16-L16 (2006)
Binary blend based dye sensitized photo sensor using PCPDTBT and MEH-PPV composite as a light sensitizer.
Qadir KW, et al.
Synthetic Metals, 210(1), 392-397 (2015)
Selective metal-vapor deposition on solvent evaporated polymer surfaces.
Yamaguchi K and Tsujioka T
Thin Solid Films, 597, 220-225 (2015)

Articles

Self-healing soft electronic materials offer potential cost savings and reduced electronic waste.

The development of high-performance conjugated organic molecules and polymers has received widespread attention in industrial and academic research.

LEPs enable a wide range of important applications including sensors, flexible LED displays and lighting devices, optical pump lasers, and potentially polymer diode lasers.

Organic Semiconductor Laser Materials

See All

Related Content

This thematic issue focuses on the emerging applications of nanomaterials. Nanomaterials are defined as substances with at least one dimension smaller than 100 nm.

Our team of scientists has experience in all areas of research including Life Science, Material Science, Chemical Synthesis, Chromatography, Analytical and many others.

Contact Technical Service