Skip to Content
MilliporeSigma

468495

Sigma-Aldrich

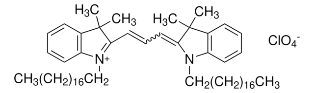
1,1′-Dioctadecyl-3,3,3′,3′-tetramethylindocarbocyanine perchlorate

97%

Synonym(s):

DiI

Sign Into View Organizational & Contract Pricing

Select a Size


About This Item

Empirical Formula (Hill Notation):
C59H97ClN2O4
CAS Number:
Molecular Weight:
933.87
Beilstein/REAXYS Number:
8251870
MDL number:
UNSPSC Code:
12171500
PubChem Substance ID:
NACRES:
NA.47
Technical Service
Need help? Our team of experienced scientists is here for you.
Let Us Assist
Technical Service
Need help? Our team of experienced scientists is here for you.
Let Us Assist

Quality Level

assay

97%

form

crystalline

composition

Carbon: 73.2-78.5%

Nitrogen: 2.7-3.3%

technique(s)

titration: suitable

color

dark purple

mp

68 °C (dec.) (lit.)

λmax

549 nm

ε (extinction coefficient)

≥10000 at 276-282 nm in methanol at 0.01 g/L
≥130000 at 546-552 nm in methanol at 0.01 g/L
≥70000 at 514-520 nm in methanol at 0.01 g/L

application(s)

diagnostic assay manufacturing
hematology
histology

storage temp.

2-8°C

SMILES string

[O-]Cl(=O)(=O)=O.CCCCCCCCCCCCCCCCCCN1c2ccccc2C(C)(C)/C1=C\C=C\C3=[N+](CCCCCCCCCCCCCCCCCC)c4ccccc4C3(C)C

InChI

1S/C59H97N2.ClHO4/c1-7-9-11-13-15-17-19-21-23-25-27-29-31-33-35-41-50-60-54-46-39-37-44-52(54)58(3,4)56(60)48-43-49-57-59(5,6)53-45-38-40-47-55(53)61(57)51-42-36-34-32-30-28-26-24-22-20-18-16-14-12-10-8-2;2-1(3,4)5/h37-40,43-49H,7-36,41-42,50-51H2,1-6H3;(H,2,3,4,5)/q+1;/p-1

InChI key

JVXZRNYCRFIEGV-UHFFFAOYSA-M

Looking for similar products? Visit Product Comparison Guide

Related Categories

General description

1,1′-Dioctadecyl-3,3,3′,3′-tetramethylindocarbocyanine perchlorate is also called as Dil. It can be used to study HCV (Hepatitis C virus) cell interactions in the HCV entry process. It is used to label oxidized LDL (low-density lipoprotein) to quantify the uptake of DiI-oxLDL in human endothelial cells.

Application

1,1′-Dioctadecyl-3,3,3′,3′-tetramethylindocarbocyanine perchlorate has been used in cytoskeletal staining, nuclear staining, retrograde labeling, counting of motor neurons and labelling of the retinal ganglion cell axons.
1,1′-Dioctadecyl-3,3,3′,3′-tetramethylindocarbocyanine perchlorate has been used in fluorescent labelling of mesenchymal stem cells (MSCs) and cerebral cortex. It has also been used in electromyogram (EMG) to determine awake and anesthetized states in mice.

Biochem/physiol Actions

Lipophilic carbocyanine dye used primarily for optical recordings of membrane voltage and for studies of membrane fluidity. Retrograde stain for neurons; provides intense, long-lasting staining of live neurons in vivo and in vitro.

Storage Class

11 - Combustible Solids

wgk_germany

WGK 3

flash_point_f

Not applicable

flash_point_c

Not applicable

ppe

Eyeshields, Gloves, type N95 (US)


Choose from one of the most recent versions:

Certificates of Analysis (COA)

Lot/Batch Number

Don't see the Right Version?

If you require a particular version, you can look up a specific certificate by the Lot or Batch number.

Already Own This Product?

Find documentation for the products that you have recently purchased in the Document Library.

Visit the Document Library

Zaborszky L
Neuroanatomical Tract-Tracing: Molecules, Neurons, and Systems (2006)
Angiotensin II induces LOX-1, the human endothelial receptor for oxidized low-density lipoprotein.
Morawietz H, et al.
Circulation, 100(9), 899-902 (1999)
Bartenschlager R, et al.
Hepatitis C Virus: From Molecular Virology to Antiviral Therapy, 369 (2013)
Activation of the hypothalamic feeding centre upon visual prey detection.
Muto A, et al.
Nature Communications, 8:15029 (2017)
Flexible Wireless Powered Drug Delivery System for Targeted Administration on Cerebral Cortex
Sung SH, et al.
Nano Energy (2018)

Our team of scientists has experience in all areas of research including Life Science, Material Science, Chemical Synthesis, Chromatography, Analytical and many others.

Contact Technical Service