Skip to Content
MilliporeSigma

423203

Sigma-Aldrich

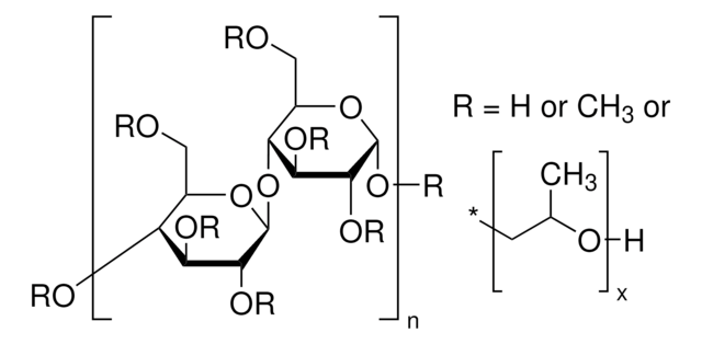
(Hydroxypropyl)methyl cellulose

average Mn ~86,000

Synonym(s):

HPMC, Hypromellose

Sign Into View Organizational & Contract Pricing

Select a Size


About This Item

CAS Number:
MDL number:
UNSPSC Code:
12162002
NACRES:
NA.23
Technical Service
Need help? Our team of experienced scientists is here for you.
Let Us Assist
Technical Service
Need help? Our team of experienced scientists is here for you.
Let Us Assist

form

powder

Quality Level

mol wt

average Mn ~86,000

extent of labeling

1.8-2.0 mol methoxy per mol cellulose (D.S.)
29 wt. % methoxy
0.2 mol propylene oxide per mol cellulose (M.S.)
7 wt. % propylene oxide

surface tension

43-55 dyn/cm, 25 °C, 0.05 wt. %

viscosity

4,000 cP, 2 wt. % in H2O(20 °C, Ubbelohde)(lit.)

transition temp

gel point 58-64 °C

SMILES string

O3[C@H]([C@@H]([C@H]([C@@H]([C@H]3COCC(O)C)OCC(O)C)OCC(O)C)OCC(O)C)O[C@@H]4[C@H](O[C@H]([C@@H]([C@H]4OCC(O)C)OCC(O)C)OCC(O)C)COCC(O)C.O1[C@H]([C@@H]([C@H]([C@@H]([C@H]1COC)OC)OC)OC)O[C@@H]2[C@H](O[C@H]([C@@H]([C@H]2OC)OC)OC)COC

InChI

1S/C36H70O19.C20H38O11/c1-19(37)9-45-17-27-29(47-11-21(3)39)31(48-12-22(4)40)34(51-15-25(7)43)36(54-27)55-30-28(18-46-10-20(2)38)53-35(52-16-26(8)44)33(50-14-24(6)42)32(30)49-13-23(5)41;1-21-9-11-13(23-3)15(24-4)18(27-7)20(30-11)31-14-12(10-22-2)29-19(28-

InChI key

PUSNGFYSTWMJSK-GSZQVNRLSA-N

Looking for similar products? Visit Product Comparison Guide

Related Categories

Application

Thickener for aqueous and non-aqueous systems, clear films with grease resistance, binders, lubricants, steric stabilizer and water retention aid.

Features and Benefits

Dissolves in water, undergoes reversible gelation upon heating, non-ionic, does not complex with ionic species and is surface active and enzyme resistant. Solutions are pseudoplastic.

Storage Class

11 - Combustible Solids

wgk_germany

WGK 1

flash_point_f

Not applicable

flash_point_c

Not applicable

ppe

Eyeshields, Gloves, type N95 (US)


Choose from one of the most recent versions:

Certificates of Analysis (COA)

Lot/Batch Number

Don't see the Right Version?

If you require a particular version, you can look up a specific certificate by the Lot or Batch number.

Already Own This Product?

Find documentation for the products that you have recently purchased in the Document Library.

Visit the Document Library

A Akbarian et al.
Poultry science, 93(8), 1930-1941 (2014-06-17)
Heat stress in poultry is a serious problem in many countries and has been associated with oxidative stress. Hence, nutritional interventions with antioxidants might be beneficial. Therefore, the effects of dietary Curcuma xanthorrhiza (CX) and Origanum compactum (OC) essential oils
Francis W Hunter et al.
Biochemical pharmacology, 89(2), 224-235 (2014-03-19)
The nitro-chloromethylbenzindoline prodrug SN29428 has been rationally designed to target tumour hypoxia. SN29428 is metabolised to a DNA minor groove alkylator via oxygen-sensitive reductive activation initiated by unknown one-electron reductases. The present study sought to identify reductases capable of activating
Michelle Lay Teng Ang et al.
Infection and immunity, 82(5), 1850-1859 (2014-02-26)
Tuberculosis remains a major worldwide epidemic because of its sole etiological agent, Mycobacterium tuberculosis. Ethionamide (ETH) is one of the major antitubercular drugs used to treat infections with multidrug-resistant M. tuberculosis strains. ETH is a prodrug that requires activation within
Eun-Ji Won et al.
Aquatic toxicology (Amsterdam, Netherlands), 150, 17-26 (2014-03-19)
Accidental nuclear radioisotope release into the ocean from nuclear power plants is of concern due to ecological and health risks. In this study, we used the marine copepod Paracyclopina nana to examine the effects of radioisotopes on marine organisms upon
Jane W Agger et al.
Proceedings of the National Academy of Sciences of the United States of America, 111(17), 6287-6292 (2014-04-16)
The recently discovered lytic polysaccharide monooxygenases (LPMOs) are known to carry out oxidative cleavage of glycoside bonds in chitin and cellulose, thus boosting the activity of well-known hydrolytic depolymerizing enzymes. Because biomass-degrading microorganisms tend to produce a plethora of LPMOs

Our team of scientists has experience in all areas of research including Life Science, Material Science, Chemical Synthesis, Chromatography, Analytical and many others.

Contact Technical Service