Skip to Content
MilliporeSigma

200565

Sigma-Aldrich

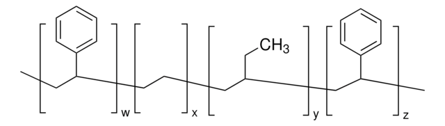
Polystyrene-block-poly(ethylene-ran-butylene)-block-polystyrene

mol wt 65-115 kDa by GPC, powder (Coarse)

Sign Into View Organizational & Contract Pricing

Select a Size


About This Item

Linear Formula:
[-CH2CH(C6H5)-]W(-CH2CH2-)x[-CH2CH(C2H5)-]y[-CH2CH(C6H5)-]Z
CAS Number:
MDL number:
UNSPSC Code:
12162002
PubChem Substance ID:
NACRES:
NA.23
Technical Service
Need help? Our team of experienced scientists is here for you.
Let Us Assist
Technical Service
Need help? Our team of experienced scientists is here for you.
Let Us Assist

form

powder (Coarse)

Quality Level

mol wt

65-115 kDa by GPC

contains

<1% antioxidant as inhibitor

viscosity

550 cP, 20 % in toluene, Brookfield(lit.)

density

0.91 g/mL at 25 °C (lit.)

SMILES string

C=C.C=CC=C.C=Cc1ccccc1

InChI

1S/C8H8.C4H6/c1-2-8-6-4-3-5-7-8;1-3-4-2/h2-7H,1H2;3-4H,1-2H2

InChI key

MTAZNLWOLGHBHU-UHFFFAOYSA-N

Looking for similar products? Visit Product Comparison Guide

Related Categories

General description

Polystyrene-block-poly(ethylene-ran-butylene)-block-polystyrene, also known as SEBS polymer, is used as a thermoplastic elastomer. It has good thermal and chemical stability with tunable mechanical properties.

Application

SEBS can be used in the formation of an anion exchange membrane with an energy efficiency of ~ 86% for the fabrication of redox flow batteries. It can also be used to form sulfonated membranes with high water permeability and thermomechanical stability for HVAC applications. SEBS finds its usage as an ion exchange membrane with a capacity of ~1.91 mmol g-1 for fuel cells.

Storage Class

11 - Combustible Solids

wgk_germany

WGK 3

flash_point_f

Not applicable

flash_point_c

Not applicable

ppe

Eyeshields, Gloves, type N95 (US)


Choose from one of the most recent versions:

Certificates of Analysis (COA)

Lot/Batch Number

Don't see the Right Version?

If you require a particular version, you can look up a specific certificate by the Lot or Batch number.

Already Own This Product?

Find documentation for the products that you have recently purchased in the Document Library.

Visit the Document Library

Macromolecular Symposia, 245(1), 450-456 (2006)

Our team of scientists has experience in all areas of research including Life Science, Material Science, Chemical Synthesis, Chromatography, Analytical and many others.

Contact Technical Service