Skip to Content
Merck

21203

Supelco

Calcium ionophore V

Selectophore, ≥95%

Synonym(s):

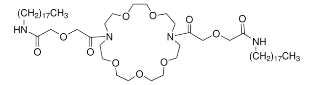
10,19-Bis[(octadecylcarbamoyl)methoxyacetyl]-1,4,7,13,16-pentaoxa-10,19-diazacycloheneicosane, K23E1

Sign Into View Organizational & Contract Pricing

Select a Size


About This Item

Empirical Formula (Hill Notation):
C58H112N4O11
CAS Number:
Molecular Weight:
1041.53
MDL number:
UNSPSC Code:
26111700
PubChem Substance ID:
NACRES:
NB.61
Technical Service
Need help? Our team of experienced scientists is here for you.
Let Us Assist
Technical Service
Need help? Our team of experienced scientists is here for you.
Let Us Assist

description

for ion-selective electrodes

Quality Level

product line

Selectophore

Assay

≥95%

form

powder

SMILES string

CCCCCCCCCCCCCCCCCCNC(=O)COCC(=O)N1CCOCCOCCOCCN(CCOCCOCC1)C(=O)COCC(=O)NCCCCCCCCCCCCCCCCCC

InChI

1S/C58H112N4O11/c1-3-5-7-9-11-13-15-17-19-21-23-25-27-29-31-33-35-59-55(63)51-72-53-57(65)61-37-41-67-45-46-68-42-38-62(40-44-70-48-50-71-49-47-69-43-39-61)58(66)54-73-52-56(64)60-36-34-32-30-28-26-24-22-20-18-16-14-12-10-8-6-4-2/h3-54H2,1-2H3,(H,59,63)(H,60,64)

InChI key

LKKJODPUVIMZGC-UHFFFAOYSA-N

General description

Visit our Sensor Applications portal to learn more.

Application

Selected application examples
Calcium ionophore V (K23E1) may be used in fabricating calcium on to the waveguide sensor to understand the selectivity of the specific ion and also measure its concentration.

Packaging

Bottomless glass bottle. Contents are inside inserted fused cone.

Other Notes

Employed in highly calcium-selective membrane electrodes exhibit excellent selectivity toward alkali and earth alkali ions (log KPOT(Ca2+,Mg2+ = -5.0)) and extremely high lipophilicity (log PTLC ionophore: 14.6); Neutral ionophore used in a calcium-selective optode

Legal Information

Selectophore is a trademark of Merck KGaA, Darmstadt, Germany

Storage Class Code

11 - Combustible Solids

WGK

WGK 3

Flash Point(F)

Not applicable

Flash Point(C)

Not applicable

Personal Protective Equipment

dust mask type N95 (US), Eyeshields, Gloves

Choose from one of the most recent versions:

Certificates of Analysis (COA)

Lot/Batch Number

Don't see the Right Version?

If you require a particular version, you can look up a specific certificate by the Lot or Batch number.

Already Own This Product?

Find documentation for the products that you have recently purchased in the Document Library.

Visit the Document Library

Active optical thin-film waveguide sensor for ion sensing
K. Kim et al.
Analytica Chimica Acta, 343, 199-199 (1997)
Design and Synthesis of Calcium and Magnesium Ionophores Based on Double-Armed Diazacrown Ether Compounds and Their Application to an Ion-Sensing Component for an Ion-Selective Electrode
Suzuki, K., et al.
Analytical Chemistry, 67, 324-324 (1995)
N Abuaf et al.
Journal of allergy, 2012, 580873-580873 (2011-12-22)
Background. An in vitro basophil activation test, based on the detection of CD63 upregulation induced by NSAIDs, has been described. Its clinical significance remains controversial. Objectives. In patients with a history of nonallergic NSAID hypersensitivity, stratified according to the severity
Jennifer Southcombe et al.
PloS one, 6(5), e20245-e20245 (2011-06-03)
Immune adaptation is a critical component of successful pregnancy. Of primary importance is the modification of cytokine production upon immune activation. With the discovery that normal pregnancy itself is a pro-inflammatory state, it was recognised that the classical Th1/Th2 cytokine
Flow-through type calcium ion selective optodes based on novel neutral ionophores and a lipophilic anionic dye
H. Hisamoto et al.
Analytica Chimica Acta, 299, 179-179 (1994)

Our team of scientists has experience in all areas of research including Life Science, Material Science, Chemical Synthesis, Chromatography, Analytical and many others.

Contact Technical Service