Skip to Content
Merck

860065P

Avanti

Ganglioside GM1 (Ovine Brain)

Avanti Research - A Croda Brand

Synonym(s):

110952

Sign Into View Organizational & Contract Pricing

Select a Size


About This Item

CAS Number:
MDL number:
UNSPSC Code:
12352211
NACRES:
NA.25
Technical Service
Need help? Our team of experienced scientists is here for you.
Let Us Assist
Technical Service
Need help? Our team of experienced scientists is here for you.
Let Us Assist

description

GM1 Ganglioside (Brain, Ovine-Sodium Salt)

Assay

>99% (TLC)

form

powder

packaging

pkg of 1 × 1 mg (860065P-1mg)
pkg of 1 × 10 mg (860065P-10mg)
pkg of 1 × 25 mg (860065P-25mg)
pkg of 1 × 5 mg (860065P-5mg)

manufacturer/tradename

Avanti Research - A Croda Brand

lipid type

sphingolipids

shipped in

dry ice

storage temp.

−20°C

SMILES string

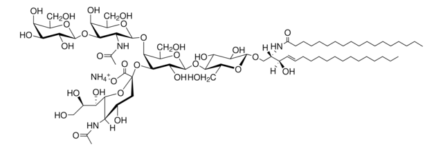
[H][C@](/C=C/CCCCCCCCCCCCC)(O)[C@@]([H])(NC(CCCCCCCCCCCCCCCCC)=O)CO[C@H]1[C@H](O)[C@@H](O)[C@H](O[C@@H]2O[C@H](CO)[C@@H]([C@H](O[C@@]3(C([O-])=O)O[C@@H]([C@H](O)[C@H](O)CO)[C@@](NC(C)=O)([H])[C@@H](O)C3)[C@H]2O)O[C@@H]4O[C@H](CO)[C@@H]([C@H](O[C@@H]5O[C@H

InChI

1S/C73H131N3O31/c1-5-7-9-11-13-15-17-19-20-22-24-26-28-30-32-34-52(86)76-44(45(83)33-31-29-27-25-23-21-18-16-14-12-10-8-6-2)40-99-69-61(93)59(91)63(50(38-79)102-69)104-71-62(94)67(98-41-47(85)55(87)66-53(74-42(3)81)46(84)35-73(97,107-66)72(95)96)64(51(39-80)103-71)105-68-54(75-43(4)82)65(57(89)49(37-78)100-68)106-70-60(92)58(90)56(88)48(36-77)101-70/h31,33,44-51,53-71,77-80,83-85,87-94,97H,5-30,32,34-41H2,1-4H3,(H,74,81)(H,75,82)(H,76,86)(H,95,96)/b33-31+/t44?,45?,46-,47?,48+,49+,50+,51+,53+,54+,55?,56-,57-,58-,59+,60+,61+,62+,63+,64-,65+,66+,67+,68-,69+,70-,71-,73-/m0/s1

InChI key

CNLVNZJJSHZYAS-ALSOZVJRSA-N

General description

Ganglioside GM1 is referred as brain ganglioside. It is an acidic glycosphingolipid comprising N-acetylneuraminic acid or N-glycolylneuraminic acid residues. It is upregulated in developing brain. Ganglioside GM1 has five glycosyl units.

Application

Ganglioside GM1 (Ovine Brain) has been used in the preparation of small unilamellar vesicles for fluorescence studies. It has also been used in liposome preparation for circular dichroism studies with human wild type−synuclein. It may be used as a standard lipid for electrospray ionization (ESI) mass spectrometry (MS) analysis.

Biochem/physiol Actions

Ganglioside GM1 is a modulator of Ca2+ flux in plasmamembrane. It plays a key role in neuronal development and maturation and has neuroprotective functionality. GM1 ganglioside from ovine has many pharmaceutical applications and is regarded as an effective therapeutic for Huntington′s disease. Accumulation of GM1 in brain due to β-galactosidase enzyme deficiency is implicated in metabolic disorder, GM1 gangliosidosis.

Packaging

5 mL Amber Glass Screw Cap Vial (860065P-10mg)
5 mL Amber Glass Screw Cap Vial (860065P-1mg)
5 mL Amber Glass Screw Cap Vial (860065P-25mg)
5 mL Amber Glass Screw Cap Vial (860065P-5mg)

Legal Information

Avanti Research is a trademark of Avanti Polar Lipids, LLC

Storage Class Code

11 - Combustible Solids

WGK

WGK 3

Flash Point(F)

Not applicable

Flash Point(C)

Not applicable


Choose from one of the most recent versions:

Certificates of Analysis (COA)

Lot/Batch Number

It looks like we've run into a problem, but you can still download Certificates of Analysis from our Documents section.

If you need assistance, please contact Customer Support

Already Own This Product?

Find documentation for the products that you have recently purchased in the Document Library.

Visit the Document Library

Combination of ESI and MALDI mass spectrometry for qualitative, semi-quantitative and in situ analysis of gangliosides in brain
Zhang Y, et al.
Scientific reports, 6(, 25289-25289 (2016)
Tyuji Hoshino et al.
The journal of physical chemistry. B, 117(27), 8085-8094 (2013-05-22)
Accumulation and fibril formation of amyloid β (Aβ) peptides onto a ganglioside-rich lipid membrane is a cause of neuro-disturbance diseases. To find out a measure for suppressing the nucleation of a seed for amyloid fibrils, the mechanism of the initial
The multi-tasked life of GM1 ganglioside, a true factotum of nature
Ledeen RW and Wu G
Trends in Biochemical Sciences, 40(7), 407-418 (2015)
MR imaging findings in 2 cases of late infantile GM1 gangliosidosis
De Grandis E, et al.
AJNR. American Journal of Neuroradiology, 30(7), 1325-1327 (2009)
Formation of supported lipid bilayers containing phase-segregated domains and their interaction with gold nanoparticles
Melby ES, et al.
Environmental science : water research & technology, 3(1), 45-55 (2016)

Our team of scientists has experience in all areas of research including Life Science, Material Science, Chemical Synthesis, Chromatography, Analytical and many others.

Contact Technical Service