Skip to Content
Merck

850305P

Avanti

06:0 PC (DHPC)

Avanti Research - A Croda Brand

Synonym(s):

DHPC; 1,2-dicaproyl-sn-glycero-3-phosphocholine; PC(6:0/6:0)

Sign Into View Organizational & Contract Pricing

Select a Size


About This Item

Empirical Formula (Hill Notation):
C20H40NO8P
CAS Number:
Molecular Weight:
453.51
MDL number:
UNSPSC Code:
51191904
NACRES:
NA.25
Technical Service
Need help? Our team of experienced scientists is here for you.
Let Us Assist
Technical Service
Need help? Our team of experienced scientists is here for you.
Let Us Assist

description

1,2-dihexanoyl-sn-glycero-3-phosphocholine

Assay

>99% (TLC)

form

powder

packaging

pkg of 1 × 1 g (850305P-1g)
pkg of 1 × 200 mg (850305P-200mg)
pkg of 1 × 25 mg (850305P-25mg)
pkg of 1 × 500 mg (850305P-500mg)

manufacturer/tradename

Avanti Research - A Croda Brand

lipid type

phospholipids
cardiolipins

shipped in

dry ice

storage temp.

−20°C

SMILES string

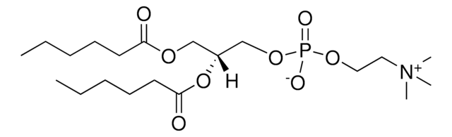
[O-]P(OCC[N+](C)(C)C)(OC[C@]([H])(OC(CCCCC)=O)COC(CCCCC)=O)=O

InChI

1S/C20H40NO8P/c1-6-8-10-12-19(22)26-16-18(29-20(23)13-11-9-7-2)17-28-30(24,25)27-15-14-21(3,4)5/h18H,6-17H2,1-5H3

InChI key

DVZARZBAWHITHR-UHFFFAOYSA-N

General description

07:0 PC (DHPC)/1,2-diheptanoyl-sn-glycero-3-phosphocholine is a phospholipid functions as a detergent. Phosphatidylcholine (PC) is a strong bilayer-forming lipid. It the most common phospholipid in mammalian membranes. It is also an important component of the mucosal layer of the colon.
The list of Phosphatidylcholine products offered by Avanti is designed to provide compounds having a variety of physical properties. Products available include short chain (C3-C8 are water soluble and hygroscopic), saturated, multi-unsaturated and mixed acid PC′s. All of the products are purified by HPLC, and special precautions are taken to protect the products for oxidization and hydrolysis.

Application

06:0 PC (DHPC) is suitable for use:
  • in developing a method for the separation of phospholipids by subcritical fluid chromatography
  • in the preparation of bicelle samples
  • in the preparation of lipid vesicles for guanosine-5′ -triphosphate (GTP) hydrolysis (GTPase) assays
  • to establish a bicelle system for the characterization of hepatitis C virus (HCV) p7 channel

Packaging

20 mL Clear Glass Screw Cap Vial (850305P-200mg)
30 mL Amber Wide Mouth Bottle with Screw Cap (850305P-500mg)
5 mL Clear Glass Sealed Ampule (850305P-25mg)
60 mL Amber Wide Mouth Screw Cap Glass Bottle (850305P-1g)

Legal Information

Avanti Research is a trademark of Avanti Polar Lipids, LLC

Storage Class Code

11 - Combustible Solids

WGK

WGK 3

Flash Point(F)

Not applicable

Flash Point(C)

Not applicable


Choose from one of the most recent versions:

Certificates of Analysis (COA)

Lot/Batch Number

It looks like we've run into a problem, but you can still download Certificates of Analysis from our Documents section.

If you need assistance, please contact Customer Support

Already Own This Product?

Find documentation for the products that you have recently purchased in the Document Library.

Visit the Document Library

Amantadine partition and localization in phospholipid membrane: a solution NMR study
Wang J, et al.
Biochemical and biophysical research communications, 324(1), 212-217 (2004)
The Membranes of Cells (2016)
Integrative Medicine - E-Book (2017)
Lipid binding by disordered proteins
Perez Y, et al.
Protocol Exchange, 10 (2013)
Mutagenesis and peptide analysis of the DRY motif in the alpha2A adrenergic receptor: evidence for alternate mechanisms in G protein-coupled receptors
Chung DA, et al.
Biochemical and biophysical research communications, 293(4), 1233-1241 (2002)

Our team of scientists has experience in all areas of research including Life Science, Material Science, Chemical Synthesis, Chromatography, Analytical and many others.

Contact Technical Service