87612
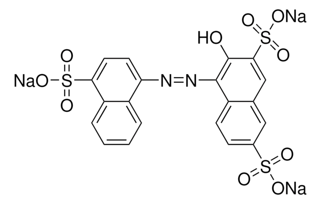
Amaranth
analytical standard
동의어(들):
Acid Red 27, Azorubin S, FD & C Red Dye No. 2
로그인조직 및 계약 가격 보기
크기 선택
제품정보 (DICE 배송 시 비용 별도)
실험식(Hill 표기법):
C20H11N2Na3O10S3
CAS 번호:
Molecular Weight:
604.47
색상 지수 번호:
16185
Beilstein:
4122311
EC Number:
MDL number:
UNSPSC 코드:
85151701
PubChem Substance ID:
E 번호:
E123
NACRES:
NA.24
Grade
analytical standard
Quality Level
분석
≥98.0% (HPLC)
유통기한
limited shelf life, expiry date on the label
기술
HPLC: suitable
gas chromatography (GC): suitable
응용 분야
cleaning products
cosmetics
food and beverages
personal care
형식
neat
SMILES string
[Na+].[Na+].[Na+].Oc1c(N=Nc2ccc(c3ccccc23)S([O-])(=O)=O)c4ccc(cc4cc1S([O-])(=O)=O)S([O-])(=O)=O
InChI
1S/C20H14N2O10S3.3Na/c23-20-18(35(30,31)32)10-11-9-12(33(24,25)26)5-6-13(11)19(20)22-21-16-7-8-17(34(27,28)29)15-4-2-1-3-14(15)16;;;/h1-10,23H,(H,24,25,26)(H,27,28,29)(H,30,31,32);;;/q;3*+1/p-3
InChI key
WLDHEUZGFKACJH-UHFFFAOYSA-K
유사한 제품을 찾으십니까? 방문 제품 비교 안내
애플리케이션
Refer to the product′s Certificate of Analysis for more information on a suitable instrument technique. Contact Technical Service for further support.
포장
Bottomless glass bottle. Contents are inside inserted fused cone.
신호어
Warning
유해 및 위험 성명서
Hazard Classifications
Eye Irrit. 2
Storage Class Code
11 - Combustible Solids
WGK
WGK 3
Flash Point (°F)
417.2 °F - closed cup
Flash Point (°C)
214 °C - closed cup
Atheel Hassan Alwash et al.
Journal of hazardous materials, 233-234, 184-193 (2012-07-27)
A new heterogeneous catalyst for sonocatalytic degradation of amaranth dye in water was synthesized by introducing titania into the pores of zeolite (NaY) through ion exchange method while Fe (III) was immobilized on the encapsulated titanium via impregnation method. XRD
Xiaojuan Liu et al.
ACS applied materials & interfaces, 3(8), 2944-2952 (2011-07-07)
Surface-enhanced Raman spectroscopy (SERS) as a powerful analytical tool has gained extensive attention. Despite of many efforts in the design of SERS substrates, it remains a grand challenge for creating a general substrate that can detect diverse target analytes. Herein
Shekhar B Jadhav et al.
Environmental science and pollution research international, 20(5), 2854-2866 (2012-09-22)
Bacterium Pseudomonas aeruginosa BCH was able to degrade naphthylaminesulfonic azo dye Amaranth in plain distilled water within 6 h at 50 mg l(-1) dye concentration. Studies were carried out to find the optimum physical conditions and which came out to
S Nadupalli et al.
The journal of physical chemistry. A, 115(27), 7948-7954 (2011-06-09)
The reaction mechanism of the oxidation of Amaranth dye (2-hydroxy-1-(4-sulfonato-1-naphthylazo) naphthalene-3,6-disulfonate) with hypochlorite under varied pH conditions was elucidated by a kinetic approach. Under excess concentration of oxidant, the reaction followed pseudo-first-order kinetics with respect to Amaranth, and the oxidation
Vinod K Gupta et al.
Materials science & engineering. C, Materials for biological applications, 32(1), 12-17 (2012-11-28)
The photo-catalytic degradation of an azo dye - Amaranth (AM) - has been investigated in TiO(2)/UV aqueous suspensions. The results obtained from the experiments during H(2)O(2)/TiO(2) addition show that the highest decolorization rate is provided by the combination of (UV+TiO(2)+H(2)O(2)).
자사의 과학자팀은 생명 과학, 재료 과학, 화학 합성, 크로마토그래피, 분석 및 기타 많은 영역을 포함한 모든 과학 분야에 경험이 있습니다..
고객지원팀으로 연락바랍니다.