SML2288
Anidulafungin
≥97% (HPLC), powder, cell wall synthesis inhibitor
Synonym(s):
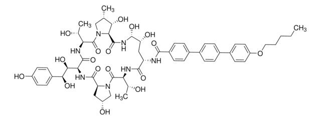
1-[(4R,5R)-4,5-Dihydroxy-N2-[[4′′-(pentyloxy)[1,1′:4′,1′′-terphenyl]-4-yl]carbonyl]-L-ornithine]echinocandin B, LY 303366
Select a Size
About This Item
Product Name
Anidulafungin, ≥97% (HPLC)
Assay
≥97% (HPLC)
form
powder
storage condition
desiccated
color
white to beige
solubility
DMSO: 2 mg/mL, clear
shipped in
wet ice
storage temp.
−20°C
SMILES string
CCCCCOC1=CC=C(C2=CC=C(C3=CC=C(C(N[C@H]4C[C@@H](O)[C@@H](O)NC([C@@H]5[C@@H](O)[C@@H](C)CN5C([C@H]([C@H](O)C)NC([C@H]([C@H](O)[C@@H](O)C6=CC=C(O)C=C6)NC([C@@H]7C[C@@H](O)CN7C([C@H]([C@H](O)C)NC4=O)=O)=O)=O)=O)=O)=O)C=C3)C=C2)C=C1
InChI
1S/C58H73N7O17/c1-5-6-7-24-82-40-22-18-35(19-23-40)33-10-8-32(9-11-33)34-12-14-37(15-13-34)51(74)59-41-26-43(70)54(77)63-56(79)47-48(71)29(2)27-65(47)58(81)45(31(4)67)61-55(78)46(50(73)49(72)36-16-20-38(68)21-17-36)62-53(76)42-25-39(69)28-64(42)57(80)44(30(3)66)60-52(41)75/h8-23,29-31,39,41-50,54,66-73,77H,5-7,24-28H2,1-4H3,(H,59,74)(H,60,75)(H,61,78)(H,62,76)(H,63,79)/t29-,30+,31+,39+,41-,42-,43+,44-,45-,46-,47-,48-,49-,50-,54+/m0/s1
InChI key
JHVAMHSQVVQIOT-MFAJLEFUSA-N
Related Categories
Application
Biochem/physiol Actions
Signal Word
Warning
Hazard Statements
Precautionary Statements
Hazard Classifications
STOT RE 2
Target Organs
Liver
Storage Class Code
11 - Combustible Solids
WGK
WGK 3
Flash Point(F)
Not applicable
Flash Point(C)
Not applicable
Choose from one of the most recent versions:
Already Own This Product?
Find documentation for the products that you have recently purchased in the Document Library.
Our team of scientists has experience in all areas of research including Life Science, Material Science, Chemical Synthesis, Chromatography, Analytical and many others.
Contact Technical Service