Skip to Content
Merck

P0537

Sigma-Aldrich

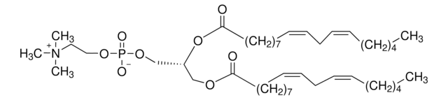
1,2-Dilinoleoyl-sn-glycero-3-phosphocholine

≥99% (TLC), lyophilized powder

Synonym(s):

(7R,18Z,21Z)-4-Hydroxy-N,N,N-trimethyl-10-oxo-7-[[(9Z,12Z)-1-oxo-9,12-octadecadien-1-yl]oxy]-3,5,9-trioxa-4-phosphaheptacosa-18,21-dien-1-aminium 4-oxide, inner salt, 1,2-Di(cis-9,12-octadecadienoyl)-sn-glycero-3-phosphocholine, 1,2-Dilinoleoyl-sn-3-glycerophosphorylcholine, 3-sn-Phosphatidylcholine, 1,2-dilinoleoyl, L-α-Dilinoleoyl phosphatidylcholine, L-Dilinoleoyllecithin, Dilinoleoyl-L-α-phosphatidylcholine, PC(18:2(9Z,12Z)/18:2(9Z,12Z))

Sign Into View Organizational & Contract Pricing

Select a Size


About This Item

Empirical Formula (Hill Notation):
C44H80NO8P
CAS Number:
Molecular Weight:
782.08
Beilstein:
5212188
EC Number:
MDL number:
UNSPSC Code:
51191904
PubChem Substance ID:
NACRES:
NA.25
Technical Service
Need help? Our team of experienced scientists is here for you.
Let Us Assist
Technical Service
Need help? Our team of experienced scientists is here for you.
Let Us Assist

biological source

synthetic (organic)

Quality Level

Assay

≥99% (TLC)

form

lyophilized powder

functional group

amine
ester

lipid type

phosphoglycerides

shipped in

ambient

storage temp.

−20°C

SMILES string

[O-]P(OCC[N+](C)(C)C)(OC[C@]([H])(OC(CCCCCCC/C=C\C/C=C\CCCCC)=O)COC(CCCCCCC/C=C\C/C=C\CCCCC)=O)=O

InChI

1S/C44H80NO8P/c1-6-8-10-12-14-16-18-20-22-24-26-28-30-32-34-36-43(46)50-40-42(41-52-54(48,49)51-39-38-45(3,4)5)53-44(47)37-35-33-31-29-27-25-23-21-19-17-15-13-11-9-7-2/h14-17,20-23,42H,6-13,18-19,24-41H2,1-5H3/b16-14-,17-15-,22-20-,23-21-/t42-/m1/s1

InChI key

FVXDQWZBHIXIEJ-LNDKUQBDSA-N

Looking for similar products? Visit Product Comparison Guide

Packaging

Packaged under Argon.

Storage Class Code

11 - Combustible Solids

WGK

WGK 3

Flash Point(F)

Not applicable

Flash Point(C)

Not applicable

Personal Protective Equipment

dust mask type N95 (US), Eyeshields, Gloves

Choose from one of the most recent versions:

Certificates of Analysis (COA)

Lot/Batch Number

Don't see the Right Version?

If you require a particular version, you can look up a specific certificate by the Lot or Batch number.

Already Own This Product?

Find documentation for the products that you have recently purchased in the Document Library.

Visit the Document Library

Karl-Josef Gundermann et al.
Pharmacological reports : PR, 63(3), 643-659 (2011-08-23)
Essential phospholipids (EPL) contain a highly purified extract of polyenylphosphatidylcholine (PPC) molecules from soybean. The main active ingredient is 1,2-dilinoleoylphosphatidylcholine (DLPC), which differentiates it from other phospholipids, lecithins, or extracts from other sources. Although EPLis widely used in liver diseases
Megan M Koerner et al.
Biophysical journal, 101(2), 362-369 (2011-07-20)
Due to thermal motion and molecular polarizability, electrical interactions in biological systems have a dynamic character. Zwitterions are dipolar molecules that typically are highly polarizable and exhibit both a positive and a negative charge depending on the pH of the
Aniket Magarkar et al.
The journal of physical chemistry. B, 116(14), 4212-4219 (2012-03-17)
PEGylation is an effective mechanism to prolong the bloodstream lifetime, and thus efficacy, of drug delivery liposomes. The mechanism through which poly(ethylene glycol) (PEG) increases bloodstream lifetime is, however, not completely understood. The interaction with salt ions found in the
Lars V Schäfer et al.
Proceedings of the National Academy of Sciences of the United States of America, 108(4), 1343-1348 (2011-01-06)
Cell membranes are comprised of multicomponent lipid and protein mixtures that exhibit a complex partitioning behavior. Regions of structural and compositional heterogeneity play a major role in the sorting and self-assembly of proteins, and their clustering into higher-order oligomers. Here
Chunhua Wang et al.
The journal of physical chemistry. B, 115(1), 196-203 (2010-12-17)
Weak interactions of neurotransmitters and the lipid matrix in the synaptic membrane have been hypothesized to play a role in synaptic transmission of nerve signals, particularly with respect to receptor desensitization (Cantor, R. S. Biochemistry 2003, 42, 11891). The strength

Our team of scientists has experience in all areas of research including Life Science, Material Science, Chemical Synthesis, Chromatography, Analytical and many others.

Contact Technical Service