Skip to Content
Merck

N5661

Sigma-Aldrich

Nuclease S1 from Aspergillus oryzae

for single-strand DNA/RNA digestion

Synonym(s):

Endonuclease S1

Sign Into View Organizational & Contract Pricing

Select a Size


About This Item

CAS Number:
EC Number:
MDL number:
UNSPSC Code:
12352204
NACRES:
NA.54
Technical Service
Need help? Our team of experienced scientists is here for you.
Let Us Assist
Technical Service
Need help? Our team of experienced scientists is here for you.
Let Us Assist

biological source

Aspergillus sp. (A. oryzae)

Quality Level

form

solution

concentration

≥100000 units/mL

technique(s)

DNA purification: suitable

suitability

suitable for nucleic acid purification

application(s)

cell analysis

shipped in

wet ice

storage temp.

−20°C

Looking for similar products? Visit Product Comparison Guide

General description

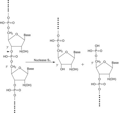
The Nuclease S1 enzyme from Aspergillus oryzae has the ability to degrade single-stranded oligonucleotides composed of either deoxynucleotides or ribonucleotides.

Application

Nuclease S1 from Aspergillus oryzae has been used in a study to assess a biochemical method for mapping mutational alterations in DNA. It has also been used in a study to investigate the DNA damage and repair in a γ-irradiated rat brain tumor.

Biochem/physiol Actions

Nuclease S1 isolated from Aspergillus oryzae exhibits endo- and exolytic hydrolytic activity for the phosphodiester bonds of single-stranded DNA and RNA yielding 5′-phosphomononucleotide and 5′-phosphooligonucleotide end-products. It is used to digest non-annealed polynucleotide tails and hairpin loops in RNA and DNA duplexes and can be used to convert superhelical DNA to the linear form.
SI nuclease from Aspergillus oryzae can generate double-stranded DNA breaks in response to DNA nicks or abasic sites.

Physical form

Solution containing 30 mM sodium acetate, 50 mM NaCl, 1 mM ZnCl2, 50% glycerol, 2 mg/ml protein

Other Notes

One unit will cause 1.0 microgram of single-stranded nucleic acid to become perchloric acid soluble per minute at pH 4.6 at 37°C.

Kit Components Only

Product No.
Description

  • 30mM Sodium acetate .25-.25 %

  • 50mM Sodium chloride .29 %

  • 1mM Zinc chloride .01 %

  • Glycerol 50 %

  • 2mg/mL Protein .2 %

Storage Class Code

10 - Combustible liquids

WGK

WGK 2

Flash Point(F)

Not applicable

Flash Point(C)

Not applicable


Choose from one of the most recent versions:

Certificates of Analysis (COA)

Lot/Batch Number

Don't see the Right Version?

If you require a particular version, you can look up a specific certificate by the Lot or Batch number.

Already Own This Product?

Find documentation for the products that you have recently purchased in the Document Library.

Visit the Document Library

F Harada et al.
Nucleic acids research, 2(6), 865-871 (1975-06-01)
Nuclease S1 specifically hydrolizes tRNAs in their anticodon loops, forming new 5' phosphate and 3' OH ends. Some single-stranded regions are not cut by nuclease S1. The strong preference of nuclease S1 for the anticodon region can be used for
M A Chaudhry et al.
Nucleic acids research, 23(19), 3805-3809 (1995-10-11)
Defined DNA substrates containing discrete abasic sites or paired abasic sites set 1, 3, 5 and 7 bases apart on opposite strands were constructed to examine the reactivity of S1, mung bean and P1 nucleases towards abasic sites. None of
P Beard et al.
Journal of virology, 12(6), 1303-1313 (1973-12-01)
S(1) nuclease, the single-strand specific nuclease from Aspergillus oryzae can cleave both strands of circular covalently closed, superhelical simian virus 40 (SV40) DNA to generate unit length linear duplex molecules with intact single strands. But circular, covalently closed, nonsuperhelical DNA
T E Shenk et al.
Proceedings of the National Academy of Sciences of the United States of America, 72(3), 989-993 (1975-03-01)
S1 nuclease (EC 3.1.4.X), a single-strand-specific nuclease, can be used to accurately map the location of mutational alterations in simian virus 40 (SV40) DNA. Deletions of between 32 and 190 base pairs, which are at or below the limit of
S1 nuclease from Aspergillus oryzae for the detection of DNA damage and repair in the gamma-irradiated intracerebral rat gliosarcoma 9L.
P H Gutin et al.
Radiation research, 72(1), 100-106 (1977-10-01)

Protocols

Spectrophotometric assay at 260 nm measures nuclease S1 activity, vital for nucleic acid research, with defined enzyme unit criteria.

Related Content

Our team of scientists has experience in all areas of research including Life Science, Material Science, Chemical Synthesis, Chromatography, Analytical and many others.

Contact Technical Service