33491
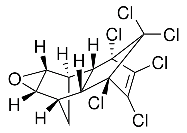
Dieldrin
PESTANAL®, analytical standard
Synonym(s):
1,2,3,4,10,10-Hexachloro-1,4,4a,5,6,7,8,8a-octahydro-6,7-epoxy-1,4:5,8-dimethanonaphthalene
Select a Size
About This Item
grade
analytical standard
Quality Level
vapor density
13.2 (vs air)
product line
PESTANAL®
shelf life
limited shelf life, expiry date on the label
technique(s)
HPLC: suitable
gas chromatography (GC): suitable
mp
143-144 °C (lit.)
application(s)
agriculture
cleaning products
cosmetics
environmental
food and beverages
personal care
format
neat
SMILES string
[H][C@@]12O[C@]1([H])C3CC2[C@]4([H])[C@@]3([H])[C@]5(Cl)C(Cl)=C(Cl)[C@@]4(Cl)C5(Cl)Cl
InChI
1S/C12H8Cl6O/c13-8-9(14)11(16)5-3-1-2(6-7(3)19-6)4(5)10(8,15)12(11,17)18/h2-7H,1H2/t2-,3+,4+,5-,6-,7+,10+,11-
InChI key
DFBKLUNHFCTMDC-PICURKEMSA-N
Looking for similar products? Visit Product Comparison Guide
General description
Application
Other Notes
Legal Information
Signal Word
Danger
Hazard Statements
Precautionary Statements
Hazard Classifications
Acute Tox. 1 Dermal - Acute Tox. 2 Oral - Aquatic Acute 1 - Aquatic Chronic 1 - Carc. 2 - STOT RE 1 Oral
Storage Class Code
6.1A - Combustible acute toxic Cat. 1 and 2 / very toxic hazardous materials
WGK
WGK 3
Flash Point(F)
Not applicable
Flash Point(C)
Not applicable
Personal Protective Equipment
Choose from one of the most recent versions:
Already Own This Product?
Find documentation for the products that you have recently purchased in the Document Library.
Our team of scientists has experience in all areas of research including Life Science, Material Science, Chemical Synthesis, Chromatography, Analytical and many others.
Contact Technical Service

