Skip to Content
Merck

870295P

Avanti

DSPE-RGD

Avanti Research - A Croda Brand

Synonym(s):

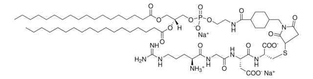
1,2-distearoyl-sn-glycero-3-phosphoethanolamine-N-[4-(p-(cysarginylglycylaspartate-maleimidomethyl)cyclohexane-carboxamide] (sodium salt)

Sign Into View Organizational & Contract Pricing

Select a Size


About This Item

Empirical Formula (Hill Notation):
C68H120N9Na2O18PS
CAS Number:
Molecular Weight:
1460.75
UNSPSC Code:
12352211
NACRES:
NA.25
Technical Service
Need help? Our team of experienced scientists is here for you.
Let Us Assist
Technical Service
Need help? Our team of experienced scientists is here for you.
Let Us Assist

Product Name

DSPE-RGD, Avanti Research - A Croda Brand 870295P, powder

Assay

>99% (TLC)

form

powder

packaging

pkg of 1 × 1 mg (870295P-1mg)

manufacturer/tradename

Avanti Research - A Croda Brand 870295P

application(s)

advanced drug delivery

shipped in

dry ice

storage temp.

−20°C

SMILES string

[H][C@@](COP([O-])(OCCNC(C1CCC(CN2C(CC(SC[C@@H](C([O-])=O)NC([C@H](CC([O-])=O)NC(CNC([C@@H]([NH3+])CCCNC(N)=N)=O)=O)=O)C2=O)=O)CC1)=O)=O)(OC(CCCCCCCCCCCCCCCCC)=O)COC(CCCCCCCCCCCCCCCCC)=O.[Na+].[Na+]

InChI

1S/C68H122N9O18PS.2Na/c1-3-5-7-9-11-13-15-17-19-21-23-25-27-29-31-35-61(82)92-48-53(95-62(83)36-32-30-28-26-24-22-20-18-16-14-12-10-8-6-4-2)49-94-96(90,91)93-43-42-72-63(84)52-39-37-51(38-40-52)47-77-59(79)45-57(66(77)87)97-50-56(67(88)89)76-65(86)55(44-6

InChI key

BNMYYFNFRONMOH-CIJOWSANSA-L

Biochem/physiol Actions

Arginine-glycine-aspartic acid (RGD) modified liposomes show potential for cancer research.

Packaging

5 mL Amber Glass Screw Cap Vial (870295P-1mg)

Legal Information

Avanti Research is a trademark of Avanti Polar Lipids, LLC

Storage Class Code

11 - Combustible Solids

Flash Point(F)

No data available

Flash Point(C)

No data available


Choose from one of the most recent versions:

Certificates of Analysis (COA)

Lot/Batch Number

It looks like we've run into a problem, but you can still download Certificates of Analysis from our Documents section.

If you need assistance, please contact Customer Support

Already Own This Product?

Find documentation for the products that you have recently purchased in the Document Library.

Visit the Document Library

Cheng-Wei Chen et al.
International journal of nanomedicine, 6, 2567-2580 (2011-12-01)
Human retinal pigment epithelial cells are promising target sites for small interfering RNA (siRNA) that might be used for the prevention and/or treatment of choroidal neovascularization by inhibiting the expression of angiogenic factor; for example, by downregulating expression of the
Yunjie Cao et al.
International journal of clinical and experimental medicine, 8(8), 12182-12191 (2015-11-10)
In this study, we report an active targeting liposomal formulation directed by a novel peptide (RGD) that specifically binds to the integrins receptors overexpressed on prostatic cancer cells. The objectives of this study were to evaluate the in vitro and

Our team of scientists has experience in all areas of research including Life Science, Material Science, Chemical Synthesis, Chromatography, Analytical and many others.

Contact Technical Service