Skip to Content
Merck

857131P

Avanti

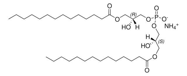
14:0 BMP (S,R)

Avanti Research - A Croda Brand

Synonym(s):

Bis(monoacylglycerol)phosphate, sn-(3-tetradecanoyl-2-hydroxy)-glycerol-1-phospho-sn-3′-(1′-tetradecanoyl-2′-hydroxy)-glycerol (ammonium salt); lysobisphosphatidic acid; LBPA; 110857

Sign Into View Organizational & Contract Pricing

Select a Size


About This Item

Empirical Formula (Hill Notation):
C34H70NO10P
CAS Number:
Molecular Weight:
683.89
UNSPSC Code:
51191904
NACRES:
NA.25
Technical Service
Need help? Our team of experienced scientists is here for you.
Let Us Assist
Technical Service
Need help? Our team of experienced scientists is here for you.
Let Us Assist

Product Name

14:0 BMP (S,R), bis(monomyristoylglycero)phosphate (S,R Isomer) (ammonium salt), powder

Assay

>99% (BMP (contains 30% positional isomers), TLC)

form

powder

packaging

pkg of 1 × 10 mg (857131P-10mg)
pkg of 1 × 5 mg (857131P-5mg)

manufacturer/tradename

Avanti Research - A Croda Brand 857131P

lipid type

cardiolipins
phospholipids

shipped in

dry ice

storage temp.

−20°C

SMILES string

[H][C@@](COP(OC[C@@]([H])(O)COC(CCCCCCCCCCCCC)=O)([O-])=O)(O)COC(CCCCCCCCCCCCC)=O.[NH4+]

InChI

1S/C34H67O10P.H3N/c1-3-5-7-9-11-13-15-17-19-21-23-25-33(37)41-27-31(35)29-43-45(39,40)44-30-32(36)28-42-34(38)26-24-22-20-18-16-14-12-10-8-6-4-2;/h31-32,35-36H,3-30H2,1-2H3,(H,39,40);1H3/t31-,32+;

InChI key

NNTPILCZAQYMLP-CWZMXPKOSA-N

General description

Bis(monoacylglycerol)phosphate (BMP)/lysobisphosphatidic acid is a phospholipid, that has two phosphate-linked glycerol molecules. This phosphate-linked glycerol molecules are present in an unusual sn-1 glycerophospho-sn-1′ glycerol stereo conformation, and each glycerol molecule esterified with fattyacid. It is usually seen in the intraluminal vesicles (ILVs) of late endosomes and lysosomes.

Biochem/physiol Actions

Bis(monoacylglycerol)phosphate (BMP)/lysobisphosphatidic acid actively participates in cargo sorting by inducing the degradation and sorting of lipids. It also plays a major role in polyunsaturated fatty acid (PUFA) sorting in acidic organelles.

Packaging

5 mL Amber Glass Screw Cap Vial (857131P-10mg)
5 mL Amber Glass Screw Cap Vial (857131P-5mg)

Legal Information

Avanti Research is a trademark of Avanti Polar Lipids, LLC

Storage Class Code

11 - Combustible Solids

WGK

WGK 3


Choose from one of the most recent versions:

Certificates of Analysis (COA)

Lot/Batch Number

It looks like we've run into a problem, but you can still download Certificates of Analysis from our Documents section.

If you need assistance, please contact Customer Support

Already Own This Product?

Find documentation for the products that you have recently purchased in the Document Library.

Visit the Document Library

Metabolic disease and ABHD6 alter the circulating bis (monoacylglycerol) phosphate profile in mice and humans
Grabner GF, et al.
Journal of Lipid Research, jlr-M093351 (2019)
Roger Lawrence et al.
Molecular genetics and metabolism reports, 21, 100524-100524 (2019-11-14)
GM1 gangliosidosis is a rare autosomal recessive genetic disorder caused by the disruption of the GLB1 gene that encodes β-galactosidase, a lysosomal hydrolase that removes β-linked galactose from the non-reducing end of glycans. Deficiency of this catabolic enzyme leads to
Elena Zaitseva et al.
PLoS pathogens, 6(10), e1001131-e1001131 (2010-10-16)
Many enveloped viruses invade cells via endocytosis and use different environmental factors as triggers for virus-endosome fusion that delivers viral genome into cytosol. Intriguingly, dengue virus (DEN), the most prevalent mosquito-borne virus that infects up to 100 million people each
Jordon M Inloes et al.
Biochemistry, 57(39), 5759-5767 (2018-09-18)
Deleterious mutations in the serine hydrolase DDHD domain containing 1 (DDHD1) cause the SPG28 subtype of the neurological disease hereditary spastic paraplegia (HSP), which is characterized by axonal neuropathy and gait impairments. DDHD1 has been shown to display PLA1-type phospholipase

Our team of scientists has experience in all areas of research including Life Science, Material Science, Chemical Synthesis, Chromatography, Analytical and many others.

Contact Technical Service