Skip to Content
Merck

850186P

Avanti

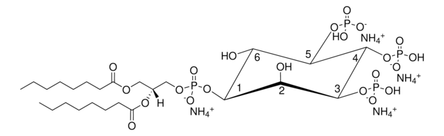
08:0 PI(3,4,5)P3

Avanti Research - A Croda Brand

Synonym(s):

PIP3[3′,4′,5′](8:0/8:0); 110667

Sign Into View Organizational & Contract Pricing

Select a Size


About This Item

Empirical Formula (Hill Notation):
C25H62N4O22P4
CAS Number:
Molecular Weight:
894.67
MDL number:
UNSPSC Code:
51191904
NACRES:
NA.25
Technical Service
Need help? Our team of experienced scientists is here for you.
Let Us Assist
Technical Service
Need help? Our team of experienced scientists is here for you.
Let Us Assist

Product Name

08:0 PI(3,4,5)P3, 1,2-dioctanoyl-sn-glycero-3-phospho-(1′-myo-inositol-3′,4′,5′-trisphosphate) (ammonium salt), powder

Assay

>99% (TLC)

form

powder

packaging

pkg of 1 × 100 μg (with stopper and crimp cap (850186P-100ug))
pkg of 1 × 500 μg (with stopper and crimp cap (850186P-500ug))

manufacturer/tradename

Avanti Research - A Croda Brand 850186P

lipid type

phospholipids
cardiolipins

shipped in

dry ice

storage temp.

−20°C

SMILES string

[H][C@@](COP(O[C@H]1[C@H](O)[C@@H](OP([O-])(O)=O)[C@H](OP(O)([O-])=O)[C@@H](OP(O)([O-])=O)[C@H]1O)([O-])=O)(OC(CCCCCCC)=O)COC(CCCCCCC)=O.[NH4+].[NH4+].[NH4+].[NH4+]

General description

Inositol phospholipid species are membrane-bound signaling molecules that have been implicated in almost all aspects of cellular physiology, including cellular growth, metabolism, proliferation, and survival.
Phosphatidylinositol 3,4,5-trisphosphate (PI(3,4,5)P3) is a less abundant lipid.

Application

08:0 PI(3,4,5)P3 may be used as a control compound for assessing phosphoinositide 3-kinase activity.

Biochem/physiol Actions

Phosphatidylinositol 3,4,5-trisphosphate (PI(3,4,5)P3), a lipid second messenger can modulate synaptic activity.

Packaging

2 mL Amber Serum Vial with Stopper and Crimp Cap (850186P-100ug)
2 mL Amber Serum Vial with Stopper and Crimp Cap (850186P-500ug)

Legal Information

Avanti Research is a trademark of Avanti Polar Lipids, LLC

Storage Class Code

11 - Combustible Solids


Choose from one of the most recent versions:

Certificates of Analysis (COA)

Lot/Batch Number

It looks like we've run into a problem, but you can still download Certificates of Analysis from our Documents section.

If you need assistance, please contact Customer Support

Already Own This Product?

Find documentation for the products that you have recently purchased in the Document Library.

Visit the Document Library

Thang Manh Khuong et al.
Neuron, 77(6), 1097-1108 (2013-03-26)
PI(3,4,5)P3 is a low-abundance lipid thought to play a role in the regulation of synaptic activity; however, the mechanism remains obscure. We have constructed novel split Venus-based probes and used superresolution imaging to localize PI(3,4,5)P3 at Drosophila larval neuromuscular synapses. We find
Rays H Y Jiang et al.
Cell host & microbe, 11(2), 99-100 (2012-02-22)
Survival of blood stage malaria parasites requires extensive host cell remodeling, which is facilitated by secretion of parasite proteins via a dedicated protein export pathway. In a recent Cell paper, Bhattacharjee et al., (2012) describe PI(3)P binding as one of the
Sulochanadevi Baskaran et al.
Molecular cell, 47(3), 339-348 (2012-06-19)
Macroautophagy is essential to cell survival during starvation and proceeds by the growth of a double-membraned phagophore, which engulfs cytosol and other substrates. The synthesis and recognition of the lipid phosphatidylinositol 3-phosphate, PI(3)P, is essential for autophagy. The key autophagic
Gerald R V Hammond et al.
Science (New York, N.Y.), 337(6095), 727-730 (2012-06-23)
The quantitatively minor phospholipid phosphatidylinositol (4,5)-bisphosphate [PI(4,5)P(2)] fulfills many cellular functions in the plasma membrane (PM), whereas its synthetic precursor, phosphatidylinositol 4-phosphate (PI4P), has no assigned PM roles apart from PI(4,5)P(2) synthesis. We used a combination of pharmacological and chemical

Our team of scientists has experience in all areas of research including Life Science, Material Science, Chemical Synthesis, Chromatography, Analytical and many others.

Contact Technical Service