Skip to Content
Merck

850181P

Avanti

08:0 PI

Avanti Research - A Croda Brand

Synonym(s):

PI(8:0/8:0)

Sign Into View Organizational & Contract Pricing

Select a Size


About This Item

Empirical Formula (Hill Notation):
C25H50NO13P
CAS Number:
Molecular Weight:
603.64
UNSPSC Code:
51191904
NACRES:
NA.25
Technical Service
Need help? Our team of experienced scientists is here for you.
Let Us Assist
Technical Service
Need help? Our team of experienced scientists is here for you.
Let Us Assist

Product Name

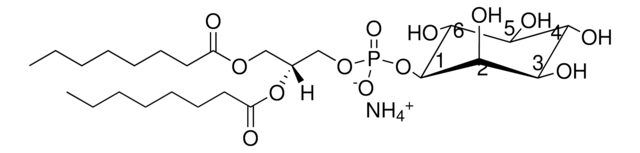
08:0 PI, 1,2-dioctanoyl-sn-glycero-3-phospho-(1′-myo-inositol) (ammonium salt), powder

Assay

>99% (TLC)

form

powder

packaging

pkg of 1 × 100 μg (with stopper and crimp cap (850181P-100ug))
pkg of 1 × 500 μg (with stopper and crimp cap (850181P-500ug))

manufacturer/tradename

Avanti Research - A Croda Brand 850181P

lipid type

phospholipids
cardiolipins

shipped in

dry ice

storage temp.

−20°C

SMILES string

[H][C@@](COP([O-])(O[C@H]1[C@H](O)[C@@H](O)[C@H](O)[C@@H](O)[C@H]1O)=O)(OC(CCCCCCC)=O)COC(CCCCCCC)=O.[NH4+]

InChI

1S/C25H47O13P.H3N/c1-3-5-7-9-11-13-18(26)35-15-17(37-19(27)14-12-10-8-6-4-2)16-36-39(33,34)38-25-23(31)21(29)20(28)22(30)24(25)32;/h17,20-25,28-32H,3-16H2,1-2H3,(H,33,34);1H3/t17-,20-,21-,22+,23-,24-,25-;/m1./s1

InChI key

BJQNDQRSJKQZAM-RGISUMIPSA-N

General description

Phosphatidylinositol (PI), a glycerophospholipid has a head group which carries a cyclohexanol moiety. 08:0 PI (1,2-dioctanoyl-sn-glycero-3-phospho-(1′-myo-inositol)) is a PI analog with a shorter acyl chain.

Application

08:0 PI (1,2-dioctanoyl-sn-glycero-3-phospho-(1′-myo-inositol)) may be used:
  • as a substrate for phosphatidyl-myo-inositol mannosyltransferase (PimA) to compare the effect of non-substrate phospholipids on the activity
  • as a replacement for mycobacterial membranes in enzymatic assays to measure PimA activity
  • as a phospholipid (PL) standard in the ion trap-time of flight (IT-TOF) system to study the fragmentation principles of unique PLs and also used as a nonendogenous PL standard for the quantitative analysis of PLs in nut samples

Biochem/physiol Actions

Inositol phospholipid species are membrane-bound signaling molecules that have been implicated in almost all aspects of cellular physiology, including cellular growth, metabolism, proliferation, and survival.
Phosphatidylinositol (PI) serves as a precursor of a phosphoinositides, a class of signaling lipids.

Packaging

2 mL Amber Serum Vial with Stopper and Crimp Cap (850181P-100ug)
2 mL Amber Serum Vial with Stopper and Crimp Cap (850181P-500ug)

Legal Information

Avanti Research is a trademark of Avanti Polar Lipids, LLC

Storage Class Code

11 - Combustible Solids

Flash Point(F)

No data available

Flash Point(C)

No data available


Choose from one of the most recent versions:

Certificates of Analysis (COA)

Lot/Batch Number

It looks like we've run into a problem, but you can still download Certificates of Analysis from our Documents section.

If you need assistance, please contact Customer Support

Already Own This Product?

Find documentation for the products that you have recently purchased in the Document Library.

Visit the Document Library

Zhen Chen et al.
Theriogenology, 144, 56-66 (2020-01-10)
A comparative lipidomic profiling analysis of dairy cattle oocytes with different developmental competences was performed using a combination of high performance liquid chromatography-high resolution tandem mass spectrometry and multivariate statistical analysis. Significant lipidomic changes were identified in degenerating oocytes. Total
Shuang Song et al.
Food chemistry, 240, 1171-1178 (2017-09-28)
Nuts, a class of fatty natural food, are associated with a series of health benefit. Lipid, which is the most abundant nutrient in nuts, could be one of the major contributors to many beneficial effects. In previous studies, only the

Our team of scientists has experience in all areas of research including Life Science, Material Science, Chemical Synthesis, Chromatography, Analytical and many others.

Contact Technical Service