Skip to Content
Merck

850174P

Avanti

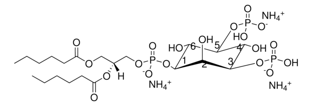
06:0 PI(3,5)P2

Avanti Research - A Croda Brand

Synonym(s):

PIP2[3′,5′](6:0/6:0)

Sign Into View Organizational & Contract Pricing

Select a Size


About This Item

Empirical Formula (Hill Notation):
C21H50N3O19P3
CAS Number:
Molecular Weight:
741.55
MDL number:
UNSPSC Code:
51191904
NACRES:
NA.25
Technical Service
Need help? Our team of experienced scientists is here for you.
Let Us Assist
Technical Service
Need help? Our team of experienced scientists is here for you.
Let Us Assist

description

1,2-dihexanoyl-sn-glycero-3-phospho-(1′-myo-inositol-3′,5′-bisphosphate) (ammonium salt)

Assay

>99% (TLC)

form

powder

packaging

pkg of 1 × 100 μg (with stopper and crimp cap (850174P-100ug))
pkg of 1 × 500 μg (with stopper and crimp cap (850174P-500ug))

manufacturer/tradename

Avanti Research - A Croda Brand

lipid type

phospholipids
cardiolipins

shipped in

dry ice

storage temp.

−20°C

SMILES string

[H][C@@](COP([O-])(O[C@H]1[C@H](O)[C@@H](OP(O)([O-])=O)[C@H](O)[C@@H](OP([O-])(O)=O)[C@H]1O)=O)(OC(CCCCC)=O)COC(CCCCC)=O.[NH4+].[NH4+].[NH4+]

General description

Inositol phospholipid species are membrane-bound signaling molecules that have been implicated in almost all aspects of cellular physiology, including cellular growth, metabolism, proliferation, and survival.
Phosphatidylinositol 3,5-bisphosphate (PI(3,5)P2) is an inositol phospholipid, which accounts for approximately 0.05-0.1% of total cellular phosphatidylinositol (PI). In fungi and higher eukaryotes, this less abundant phosphoinositide is present in the endosomal and lysosomal membranes.

Biochem/physiol Actions

Phosphatidylinositol 3,5-bisphosphate (PI(3,5)P2) is capable of activating ion channels on endosomes and lysosomes. It also activates mammalian target of rapamycin complex 1 (mTORC1) in yeast and in some mammalian cell types.

Packaging

2 mL Amber Serum Vial with Stopper and Crimp Cap (850174P-100ug)
2 mL Amber Serum Vial with Stopper and Crimp Cap (850174P-500ug)

Legal Information

Avanti Research is a trademark of Avanti Polar Lipids, LLC

Storage Class Code

11 - Combustible Solids


Choose from one of the most recent versions:

Certificates of Analysis (COA)

Lot/Batch Number

It looks like we've run into a problem, but you can still download Certificates of Analysis from our Documents section.

If you need assistance, please contact Customer Support

Already Own This Product?

Find documentation for the products that you have recently purchased in the Document Library.

Visit the Document Library

Sheena Claire Li et al.
Molecular biology of the cell, 25(8), 1251-1262 (2014-02-14)
Vacuolar proton-translocating ATPases (V-ATPases) are highly conserved, ATP-driven proton pumps regulated by reversible dissociation of its cytosolic, peripheral V1 domain from the integral membrane V(o) domain. Multiple stresses induce changes in V1-V(o) assembly, but the signaling mechanisms behind these changes
Gerald R V Hammond et al.
Science (New York, N.Y.), 337(6095), 727-730 (2012-06-23)
The quantitatively minor phospholipid phosphatidylinositol (4,5)-bisphosphate [PI(4,5)P(2)] fulfills many cellular functions in the plasma membrane (PM), whereas its synthetic precursor, phosphatidylinositol 4-phosphate (PI4P), has no assigned PM roles apart from PI(4,5)P(2) synthesis. We used a combination of pharmacological and chemical

Our team of scientists has experience in all areas of research including Life Science, Material Science, Chemical Synthesis, Chromatography, Analytical and many others.

Contact Technical Service