Skip to Content
Merck

850143P

Avanti

18:0 PI

Avanti Research - A Croda Brand

Synonym(s):

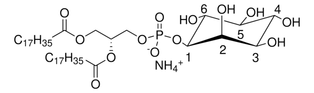
1,2-dioctadecanoyl-sn-glycero-3-phospho-(1′-myo-inositol) (ammonium salt); DSPI; PI(18:0/18:0); 110658

Sign Into View Organizational & Contract Pricing

Select a Size


About This Item

Empirical Formula (Hill Notation):
C45H90NO13P
CAS Number:
Molecular Weight:
884.17
UNSPSC Code:
51191904
NACRES:
NA.25
Technical Service
Need help? Our team of experienced scientists is here for you.
Let Us Assist
Technical Service
Need help? Our team of experienced scientists is here for you.
Let Us Assist

Product Name

18:0 PI, 1,2-distearoyl-sn-glycero-3-phosphoinositol (ammonium salt), powder

Assay

>99% (TLC)

form

powder

packaging

pkg of 1 × 100 μg (with stopper and crimp cap (850143P-100ug))
pkg of 1 × 500 μg (with stopper and crimp cap (850143P-500ug))

manufacturer/tradename

Avanti Research - A Croda Brand 850143P

lipid type

cardiolipins
phospholipids

shipped in

dry ice

storage temp.

−20°C

SMILES string

O[C@H]1[C@@H]([C@H](O)[C@H](O)[C@@H](O)[C@@H]1O)OP(OC[C@H](OC(CCCCCCCCCCCCCCCCC)=O)COC(CCCCCCCCCCCCCCCCC)=O)([O-])=O.[NH4+]

InChI

1S/C45H87O13P.H3N/c1-3-5-7-9-11-13-15-17-19-21-23-25-27-29-31-33-38(46)55-35-37(36-56-59(53,54)58-45-43(51)41(49)40(48)42(50)44(45)52)57-39(47)34-32-30-28-26-24-22-20-18-16-14-12-10-8-6-4-2;/h37,40-45,48-52H,3-36H2,1-2H3,(H,53,54);1H3/t37-,40-,41-,42+,43-

InChI key

SKBQHGUQGNEBST-GJCFFWOHSA-N

General description

Inositol phospholipid species are membrane-bound signaling molecules that have been implicated in almost all aspects of cellular physiology, including cellular growth, metabolism, proliferation, and survival.
The headgroup of phosphatidylinositol (PI) carries inositol.

Application

18:0 PI (1,2-distearoyl-sn-glycero-3-phosphoinositol) may be used as a phospholipid (PL) standard to quantify phosphatidylinositol (PI) using ESI-MS/MS analysis.

Biochem/physiol Actions

Phosphatidylinositol (PI) has the ability to maintain protein stability.

Packaging

2 mL Amber Serum Vial with Stopper and Crimp Cap (850143P-100ug)
2 mL Amber Serum Vial with Stopper and Crimp Cap (850143P-500ug)

Legal Information

Avanti Research is a trademark of Avanti Polar Lipids, LLC

Storage Class Code

11 - Combustible Solids

WGK

WGK 3

Flash Point(F)

No data available

Flash Point(C)

No data available


Choose from one of the most recent versions:

Certificates of Analysis (COA)

Lot/Batch Number

It looks like we've run into a problem, but you can still download Certificates of Analysis from our Documents section.

If you need assistance, please contact Customer Support

Already Own This Product?

Find documentation for the products that you have recently purchased in the Document Library.

Visit the Document Library

Lipid-Protein Interactions in Membranes
The Membranes of Cells, 291-334 (2016)
Jung Yong Eum et al.
Journal of chromatography. A, 460849-460849 (2020-01-14)
Aging refers to the intracellular accumulation of reactive oxygen species that damages proteins, DNA, and lipids. As alterations in lipid metabolism may trigger metabolic disorders and the onset of metabolic diseases, changes in lipid profiles can be closely related to

Our team of scientists has experience in all areas of research including Life Science, Material Science, Chemical Synthesis, Chromatography, Analytical and many others.

Contact Technical Service