Skip to Content
Merck

840857P

Avanti

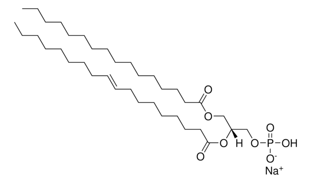
16:0-18:1 PA

Avanti Research - A Croda Brand

Synonym(s):

1-hexadecanoyl-2--(9Z-octadecenoyl)-sn-glycero-3-phosphate (sodium salt); POPA; PA(16:0/18:1(9Z)); 110616

Sign Into View Organizational & Contract Pricing

Select a Size


About This Item

Empirical Formula (Hill Notation):
C37H70O8PNa
CAS Number:
Molecular Weight:
696.91
MDL number:
UNSPSC Code:
51191904
NACRES:
NA.25
Technical Service
Need help? Our team of experienced scientists is here for you.
Let Us Assist
Technical Service
Need help? Our team of experienced scientists is here for you.
Let Us Assist

Product Name

16:0-18:1 PA, powder

description

1-palmitoyl-2-oleoyl-sn-glycero-3-phosphate (sodium salt)

Assay

>99% (TLC)

form

powder

packaging

pkg of 2 × 100 mg (840857P-200mg)
pkg of 5 × 100 mg (840857P-500mg)
pkg of 1 × 25 mg (840857P-25mg)

manufacturer/tradename

Avanti Research - A Croda Brand

lipid type

cardiolipins
phospholipids

shipped in

dry ice

storage temp.

−20°C

SMILES string

[H][C@@](COP([O-])(O)=O)(OC(CCCCCCC/C=C\CCCCCCCC)=O)COC(CCCCCCCCCCCCCCC)=O.[Na+]

InChI

1S/C37H71O8P.Na/c1-3-5-7-9-11-13-15-17-18-20-22-24-26-28-30-32-37(39)45-35(34-44-46(40,41)42)33-43-36(38)31-29-27-25-23-21-19-16-14-12-10-8-6-4-2;/h17-18,35H,3-16,19-34H2,1-2H3,(H2,40,41,42);/q;+1/p-1/b18-17-;/t35-;/m1./s1

InChI key

PPYXMAJBOKWTQX-RYRMQHSSSA-M

General description

Phosphatidic acid (PA), the smallest and simplest phospholipid is produced from phosphatidylcholine with the help of phospholipase D. This glycerophospholipid is an ester of glycerol, which possess two long-chain fatty acids (LCFAs) at C1 and C2 and phosphoric acid at C3 positions.

Application

16:0-18:1 PA is suitable for use
  • in liposomes preparation
  • for lipid extraction of mitochondria
  • to generate multilamellar phospholipid vesicles

Biochem/physiol Actions

Phosphatidic acid (PA) may induce negative curvature in the cytoplasmic leaflet of the plasma membrane, which enables the development of the hemi fusion intermediates, that is essential for the fusion of two membranes.

Packaging

5 mL Clear Glass Sealed Ampule (840857P-200mg)
5 mL Clear Glass Sealed Ampule (840857P-25mg)
5 mL Clear Glass Sealed Ampule (840857P-500mg)

Legal Information

Avanti Research is a trademark of Avanti Polar Lipids, LLC

Storage Class Code

11 - Combustible Solids

WGK

WGK 3

Flash Point(F)

Not applicable

Flash Point(C)

Not applicable


Choose from one of the most recent versions:

Certificates of Analysis (COA)

Lot/Batch Number

It looks like we've run into a problem, but you can still download Certificates of Analysis from our Documents section.

If you need assistance, please contact Customer Support

Already Own This Product?

Find documentation for the products that you have recently purchased in the Document Library.

Visit the Document Library

Muscle Lipid Metabolism
Muscle and Exercise Physiology, 271-284 (2019)
Membrane polar lipids
Stillwell W
An Introduction to Biological Membranes: Composition, Structure and Function, 63-87 (2016)
Surfactant protein A (SP-A) binds to phosphatidylserine and competes with annexin V binding on late apoptotic cells
Jakel A, et al.
Protein & cell, 1(2), 188-197 (2010)
The Molecular Mechanisms Underlying Synaptic Transmission: A View of the Presynaptic Terminal
The synapse : structure and function, 1(2), 21-109 (2014)
Mitochondrial translocation of alpha-synuclein is promoted by intracellular acidification
Cole NB, et al.
Experimental Cell Research, 314(10), 2076-2089 (2008)

Our team of scientists has experience in all areas of research including Life Science, Material Science, Chemical Synthesis, Chromatography, Analytical and many others.

Contact Technical Service