Skip to Content
Merck

840030P

Avanti

06:0 PS

Avanti Research - A Croda Brand

Synonym(s):

PS(6:0/6:0)

Sign Into View Organizational & Contract Pricing

Select a Size


About This Item

Empirical Formula (Hill Notation):
C18H33NO10PNa
CAS Number:
Molecular Weight:
477.42
UNSPSC Code:
51191904
NACRES:
NA.25
Technical Service
Need help? Our team of experienced scientists is here for you.
Let Us Assist
Technical Service
Need help? Our team of experienced scientists is here for you.
Let Us Assist

Product Name

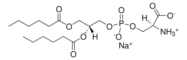
06:0 PS, 1,2-dihexanoyl-sn-glycero-3-phospho-L-serine (sodium salt), powder

Assay

>99% (TLC)

form

powder

packaging

pkg of 1 × 10 mg (840030P-10mg)
pkg of 1 × 25 mg (840030P-25mg)

manufacturer/tradename

Avanti Research - A Croda Brand 840030P

lipid type

phospholipids
cardiolipins

shipped in

dry ice

storage temp.

−20°C

SMILES string

[H][C@@](COP([O-])(OC[C@](C([O-])=O)([H])[NH3+])=O)(OC(CCCCC)=O)COC(CCCCC)=O.[Na+]

InChI

1S/C18H34NO10P.Na/c1-3-5-7-9-16(20)26-11-14(29-17(21)10-8-6-4-2)12-27-30(24,25)28-13-15(19)18(22)23;/h14-15H,3-13,19H2,1-2H3,(H,22,23)(H,24,25);/q;+1/p-1/t14-,15+;/m1./s1

InChI key

OPDYVXCKOQKYDZ-LIOBNPLQSA-M

General description

Phosphatidylserine (PS) is an acidic phospholipid. Approximately 15–33 mol% of PS is present in the inner leaflet of the plasma membrane.

Application

06:0 PS may be used to study its effect on α-syn (α-synuclein) oligomerization by DA (dopamine) and as a phospholipid substrate to determine the kinetic parameters for phospholipase C by chromogenic assay. It has also been used in the preparation of phospholipid vesicles.

Biochem/physiol Actions

Phosphatidylserine (PS) participates in several signaling pathways. This membrane phospholipid controls the Akt (protein kinase B) phosphorylation process.

Packaging

5 mL Clear Glass Sealed Ampule (840030P-10mg)
5 mL Clear Glass Sealed Ampule (840030P-25mg)

Legal Information

Avanti Research is a trademark of Avanti Polar Lipids, LLC

Storage Class Code

11 - Combustible Solids


Choose from one of the most recent versions:

Certificates of Analysis (COA)

Lot/Batch Number

It looks like we've run into a problem, but you can still download Certificates of Analysis from our Documents section.

If you need assistance, please contact Customer Support

Already Own This Product?

Find documentation for the products that you have recently purchased in the Document Library.

Visit the Document Library

Akt-GSK3 beta Pro-survival Signaling Pathway in Cerebral Ischemic Injury
Primer on Kidney Diseases, Volume 953, 269-272 (2017)
Analysis of complex lipidomes
Medical Applications of Mass Spectrometry, 223-249 (2008)
Carolina Varela Chavez et al.
Cellular microbiology, 17(10), 1477-1493 (2015-04-18)
Clostridium sordellii lethal toxin (TcsL) is a potent virulence factor belonging to the large clostridial glucosylating toxin family. TcsL enters target cells via receptor-mediated endocytosis and delivers the N-terminal catalytic domain (TcsL-cat) into the cytosol upon an autoproteolytic process. TcsL-cat
Chi L L Pham et al.
Bioscience reports, 33(5) (2013-09-27)
The deposition of α-syn (α-synuclein) as amyloid fibrils and the selective loss of DA (dopamine) containing neurons in the substantia nigra are two key features of PD (Parkinson's disease). α-syn is a natively unfolded protein and adopts an α-helical conformation
Peter A Leventis et al.
Annual review of biophysics, 39, 407-427 (2010-03-03)
Phosphatidylserine (PS) is the most abundant negatively charged phospholipid in eukaryotic membranes. PS directs the binding of proteins that bear C2 or gamma-carboxyglutamic domains and contributes to the electrostatic association of polycationic ligands with cellular membranes. Rather than being evenly

Articles

The critical micelle concentration (CMC) can be approximately defined as the lipid monomer concentration at which appreciable amounts (>5% of total) of micellar aggregates first begin to appear in the equilibrium: nM1<=>Mn

Our team of scientists has experience in all areas of research including Life Science, Material Science, Chemical Synthesis, Chromatography, Analytical and many others.

Contact Technical Service