840030C
Avanti
06:0 PS
Avanti Research™ - A Croda Brand
Synonym(s):
PS(6:0/6:0)
Select a Size
About This Item
Product Name
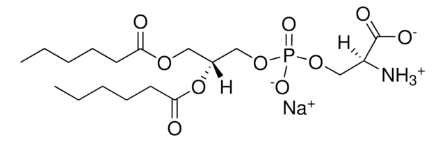
06:0 PS, 1,2-dihexanoyl-sn-glycero-3-phospho-L-serine (sodium salt), chloroform
Assay
>99% (TLC)
form
liquid
packaging
pkg of 1 × 1 mL (840030C-10mg)
pkg of 1 × 2.5 mL (840030C-25mg)
manufacturer/tradename
Avanti Research™ - A Croda Brand 840030C
concentration
10 mg/mL (840030C-10mg)
10 mg/mL (840030C-25mg)
lipid type
phospholipids
cardiolipins
shipped in
dry ice
storage temp.
−20°C
SMILES string
[H][C@@](COP([O-])(OC[C@](C([O-])=O)([H])[NH3+])=O)(OC(CCCCC)=O)COC(CCCCC)=O.[Na+]
InChI
1S/C18H34NO10P.Na/c1-3-5-7-9-16(20)26-11-14(29-17(21)10-8-6-4-2)12-27-30(24,25)28-13-15(19)18(22)23;/h14-15H,3-13,19H2,1-2H3,(H,22,23)(H,24,25);/q;+1/p-1/t14-,15+;/m1./s1
InChI key
OPDYVXCKOQKYDZ-LIOBNPLQSA-M
General description
Application
- to study its effect on α-syn (α-synuclein) oligomerization by DA (dopamine)
- to prepare phosphatidylserine (PS) liposomes
- as a phospholipid substrate to determine the kinetic parameters for phospholipase C by chromogenic assay
Biochem/physiol Actions
Packaging
Legal Information
Signal Word
Danger
Hazard Statements
Precautionary Statements
Hazard Classifications
Acute Tox. 3 Inhalation - Acute Tox. 4 Oral - Carc. 2 - Eye Irrit. 2 - Repr. 2 - Skin Irrit. 2 - STOT RE 1 - STOT SE 3
Target Organs
Central nervous system
WGK
WGK 3
Choose from one of the most recent versions:
Already Own This Product?
Find documentation for the products that you have recently purchased in the Document Library.
Articles
The critical micelle concentration (CMC) can be approximately defined as the lipid monomer concentration at which appreciable amounts (>5% of total) of micellar aggregates first begin to appear in the equilibrium: nM1<=>Mn
Our team of scientists has experience in all areas of research including Life Science, Material Science, Chemical Synthesis, Chromatography, Analytical and many others.
Contact Technical Service
