Select a Size
About This Item
ligand
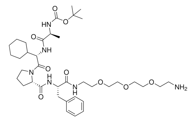
BocA1V2PF1
Quality Level
assay
≥85%
form
powder
reaction suitability
reactivity: carboxyl reactive, reagent type: ligand-linker conjugate
functional group
amine
storage temp.
2-8°C
SMILES string
C[C@H](NC(OC(C)(C)C)=O)C(N[C@H](C(N1CCC[C@H]1C(N[C@H](C(NCCOCCOCCOCCN)=O)CC2=CC=CC=C2)=O)=O)C3CCCCC3)=O
InChI key
OASZCJLPYPSNDH-QJANCWQKSA-N
Application
Building blocks in this series:
916978 BocA1V2PF1
917966 BocA1V2PF1-NHC6-NH2
916706 BocA1V2PF1-NHC10-NH2
916951 BocA1V2PF1-NHPEG1-NH2
917214 BocA1V2PF1-NHPEG3-NH2
Technology Spotlight: Degrader Building Blocks with Inhibitor of Apoptosis Protein (IAP) In Silico-Derived Ligands
Other Notes
Legal Information
Storage Class
11 - Combustible Solids
wgk
WGK 3
flash_point_f
Not applicable
flash_point_c
Not applicable
Choose from one of the most recent versions:
Already Own This Product?
Find documentation for the products that you have recently purchased in the Document Library.
Articles
Plate of 80 ligands against E3 ligase IAP designed by ComInnex; allows creation of bifunctional targeted protein degraders or molecular glues.
Targeted protein degradation reduces disease-relevant proteins in cells using small molecules, hijacking endogenous proteolysis systems.
Protein Degrader Building Blocks are a collection of crosslinker-E3 ligand conjugates with a pendant functional group for covalent linkage to a target ligand.
Global Trade Item Number
| SKU | GTIN |
|---|---|
| 917214-50MG | 04061842647484 |