Skip to Content
Merck

902314

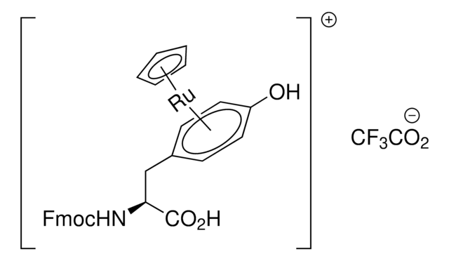
[CpRu(Fmoc-tyrosin)]CF3CO2

Synonym(s):

Fmoc-protected ruthenium tyrosine amino acid derivative, Peptide radiolabel precursor, [18F]Fluorophenylalanine peptide residue precursor

Sign In to View Organizational & Contract Pricing.

Select a Size

Change View

About This Item

Empirical Formula (Hill Notation):
C31H26F3NO7Ru
Molecular Weight:
682.61
UNSPSC Code:
12352209
NACRES:
NA.26
Technical Service
Need help? Our team of experienced scientists is here for you.
Let Us Assist


form

powder

reaction suitability

reaction type: Fmoc solid-phase peptide synthesis

mp

>300 °C

application(s)

peptide synthesis

functional group

Fmoc

storage temp.

2-8°C

SMILES string

O[C]1[CH][CH][C](CC(NC(OCC2C(C=CC=C3)=C3C4=C2C=CC=C4)=O)C(O)=O)[CH][CH]1.F[C-](F)F.O=C=O.[Ru+].c5cccc5

Application

The Ritter lab has developed a new method for direct labeling of polypeptides with the [18F]fluoride radiolabel. This Fmoc-protected ruthenium tyrosine is first incorporated into peptides, which is amenable to standard solid-phase peptide synthesis (SPPS) and is tolerant of all 20 canonical amino acids. Subsequent replacement of a single hydrogen with fluorine-18, with only minimal perturbation of the peptide structure, results in a site-specific, radiolabeled peptide tracer for use with positron emission tomography (PET) imaging in the study of various biological applications.

Legal Information

Patent Application EP18204755.5
This product is manufactured pursuant to a license with Studiengesellschaft Kohle mbH

Disclaimer

Research quantities limited to 10 g.


Storage Class

11 - Combustible Solids

wgk

WGK 3

flash_point_f

Not applicable

flash_point_c

Not applicable



Choose from one of the most recent versions:

Certificates of Analysis (COA)

Lot/Batch Number

It looks like we've run into a problem, but you can still download Certificates of Analysis from our Documents section.

If you need assistance, please contact Customer Support

Already Own This Product?

Find documentation for the products that you have recently purchased in the Document Library.

Visit the Document Library



Jens Rickmeier et al.
Angewandte Chemie (International ed. in English), 57(43), 14207-14211 (2018-09-07)
Radiolabeled receptor-binding peptides are an important class of positron emission tomography tracers owing to achievable high binding affinities and their rapid blood clearance. Herein, a method to introduce a 4-[18 F]fluoro-phenylalanine residue into peptide sequences is reported, by chemoselective radio-deoxyfluorination



Global Trade Item Number

SKUGTIN
902314-100MG04061838636003
902314-500MG04061838636089