Simultaneous Determination of Free Triiodothyronine (T3) and Free Thyroxine (T4) from Serum using the Supel™ BioSPME for Sample Preparation
Abstract
This study presents a novel method for the simultaneous determination of free T3 and T4 serum hormone levels by LC-MS using Supel™ BioSPME for sample preparation, significantly reducing preparation time to under one hour. The method is compared to traditional equilibrium dialysis, demonstrating improved efficiency for monitoring of thyroid hormones.
Section overview:
- Introduction
- Experimental
- Sample Storage & Handling
- LC-MS Method
- Calibration
- BioSPME Sample Preparation
- Results & Discussion
- Conclusion
Introduction
The thyroid hormones triiodothyronine, T3 or 3, 5, 3’-triiodo-l-thyronine, and thyroxine, T4 or 3, 5, 3’, 5’-tetraiodo-l-thyroxinine, are biomarkers used to monitor thyroid activity (Figure 1). Approximately 0.04% of the total T3 and 0.02% of the total T4 is available as the free form in circulation, with the remainder bound primarily to thyroxine-binding globulin and, to a lesser extent, albumin and transthyretin.1 Direct analogue immunoassays, the most common tests performed at most clinical laboratories, suffer from interferences and lack of specificity leading to criticism for poor quality.2 The most accepted sample preparation for determining the free concentration of these hormones involves the lengthy process of equilibrium dialysis prior to quantification by LC-MS/MS. This application note presents a novel approach to accurately monitor and determine the free T3 and T4 in under an hour of sample preparation using a technique called BioSPME, bioanalytical solid phase microextraction, prior to analysis by LC-MS/MS. Figure 2 shows the Supel™ BioSPME C18 device utilized for sample preparation.

Figure 1.Structure of T4, T3, and rT3.
The BioSPME device is a 96-pin array with a 2 mm C18 sorbent and biocompatible coating that is on the outside of each pin. This device operates by direct immersion into the sample solution and requires no active pipetting as there is no liquid transfer in or out of pin. It provides a quick and efficient means to deliver a clean sample with minimal matrix effects for analysis from human serum or plasma.


Figure 2. (left) Supel™ BioSPME device. (right) close-up of two pins to show the C18 coating of 2 mm on the outside of the pin.
Experimental
Handling and storage of serum samples
Bulk serum, 50 mL, arrived frozen and were thawed and separated into 4 mL aliquots in 5 mL polypropylene cryotubes. A 4 mL aliquot of each serum was submitted to an external clinical laboratory for independent determination of free T3 and free T4 by equilibrium dialysis, ED, prior to quantification by LC-MS/MS. The remainder 4 mL aliquots of the serums were stored in a -80 °C freezer until utilization.
Preparation of working stock solutions and internal standards
Stock solutions of T3 and T4 started with 100 µg/mL ampules of the corresponding Cerilliant® solutions (T-074, T-073). Dilution of the stock solutions to 100 ng/mL were prepared in methanol containing 0.2% ammonia and aliquoted into 1 mL glass vials and stored in the -20 °C freezer. A new aliquot of these frozen diluted standards was used daily.
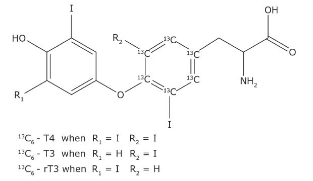
Three internal standards (Figure 3), 13C6-T4 (T-076),13C6-T3 (T-077), and 13C6-rT3 (T-078)started as individual 100 µg/mL ampules of the corresponding Cerilliant® solution. A diluted mixture with a final concentration of 100 ng/mL
13C6-T4, 50 ng/mL 13C6-T3, and 50 ng/mL 13C6-rT3 was prepared in methanol containing 0.2% ammonia and aliquoted into 1 mL glass vials and stored in -20 °C freezer. A new aliquot of the frozen diluted internal standard mixture was used daily.

Figure 3.Structure of three internal standards used. All three internal standards have the 13C6 substitution in the same location, the internal phenyl ring.
LC-MS/MS Method
Samples prepared in a final solution of methanol were diluted to 50:50 with water using a needle command sequence of the Agilent 1290 Autosampler. Separation of the analytes and internal standard mixture utilized an Ascentis® Express Biphenyl column (10 cm x 2.1 mm I.D., 2.7 µm) on an Agilent 1290 (Table 1 & 2). The transitions monitored, along with the source parameters of the Sciex Triple Quad™ 6500+ are listed in Table 3 & 4.
External calibration
Using a previously unused frozen aliquot of 100 ng/mL T4 and T3, a daily working solution of 4 ng/mL in methanol was prepared. Similarly, an unused frozen aliquot of the internal standard (100 ng/mL 13C6-T4, 50 ng/mL 13C6-T3, and 50 ng/mL 13C6-rT3) was used to prepare a 400/200/200 pg/mL internal standard solution. Separate calibrator solutions of T3 and T4 (concentration range of 2 to 80 pg/mL) with an IS concentration of 40/20/20 pg/mL were prepared using volumetric glassware. Calibrators were loaded in duplicate and processed as described under the LC-MS/ MS section.
Extracted calibration curve and preparation of sample plate
Using the 4 ng/mL of T3 and T4 in methanol as described in the previous section, calibrators in the range of 2 to 80 pg/mL were prepared in a 7.5 mM HEPES aqueous solution adjusted to pH 7.5. The calibrator solutions were loaded in duplicate at a volume of 200 µL in the sample plate.
Serum samples were pH adjusted by diluting 5% (v/v) with a 1.15 M HEPES solution. pH of serum solutions prior to extraction at room temperature were in the range of 7.3 – 7.4. The sample plate was prepared by first loading 10 µL of 1.15 M HEPES solution prior to 190 µL of the respective serum. The sample plate was agitated for 3 minutes at 300 rpm prior to starting the BioSPME sample preparation.
BioSPME Sample Preparation
An overview of the BioSPME process is shown in Table 5. A Hamilton® Microlab® STARlet liquid handler was programmed to perform the method (an overview of the steps is shown in Table 6 and deck and consumable view shown in Figure 4). Briefly, the Supel™ BioSPME device was conditioned for 20 min in acetonitrile, followed by a 10 second wash in water. The analytes were extracted into the C18 phase of the BioSPME device over the course of a predetermined time at 1200 rpm at 37 °C using a 3 mm orbital radius Hamilton Heated Shaker. The BioSPME device then underwent a wash in the same water plate as wash one for 60 seconds before being returned to the home position. The desorption plate is then filled with 40 µL of methanol containing internal standards described earlier. The analytes are then desorbed from the BioSPME device under static conditions in 5 min. The desorption plate is covered with seal tape and loaded onto the LC-MS/MS instrument for analysis.

Figure 4. Hamilton® Microlab® STARlet deck layout with consumables (position descriptions see Table 7).
Method Development
Time Curve Study
A sample plate containing serum sample L-680F, pH adjusted, and a T4 calibrator prepared at 30 pg/mL were prepared and extracted as described earlier. Four different extraction time points (5, 10, 20, 30 min) were utilized. At each time point, there were n=5 serum and n=3 of the 30 pg/mL calibrator. Concentration extracted were compared to a 5-point external calibration curve as described earlier.
Reproducibility Study
Four independent calibrators were prepared in a 7.5 mM HEPES solution, pH 7.5. Six bulk sera that had externally determined free T3 and free T4 values by ED-LC-MS/MS were extracted a total of five times over multiple weeks and multiple freeze-thaw cycles. The sera pH was adjusted to 7.3 prior to extraction using a 1.15 M HEPES (5% by v/v) solution. Serum samples were loaded in quadruplets. Sample preparation was executed as described earlier.
Results and Discussion
Method Development
Method development focused on two keys parameters, extraction time and reproducibility. While much work was conducted in changing solvents and organic modifiers in the BioSPME process, the factor that had the largest impact was pH. The pH adjustment was influenced by CLSI-C45-A3, Katleen Van Uytfanghe4, and Bingfang Yue5. Previously published work has also stated the impact of chloride ions and phosphate ions.6 As a direct result, phosphate buffered saline was removed from consideration and replaced with HEPES (4-(2-hydroxyethyl)-1-piperazineethanesulfonic acid); as previous reports listed that it had no impact on free thyroxine levels.
Time Curve
Using the external calibration curve, the extracted T4 values for the serum and extracted calibrator solution were determined at each time point as shown in Figure 5 and data in Table 8. After 20 minutes, it is seen that the calibrator in HEPES and serum sample level off.

Figure 5.Time curve showing the amount of T4 extracted from serum sample L-680F (triangles) or 30 pg/mL calibrator (circles) prepared in HEPES solution.
Reproducibility and Multiple Freeze Thaws
As highlighted earlier, a multiday freeze/thaw reproducibility study was conducted for six different sera that were previously tested externally by a validated equilibrium-dialysis LC-MS/MS method.
Figure 6 shows an example chromatogram after sample preparation by the Supel™ BioSPME device. The use of the 10 cm biphenyl column allowed separation of the isobars T3 and rT3 in addition to T4.

Figure 6.Representative chromatogram after extraction of L-676M. 1 is T3, 1-IS is 13C6-T3, 2-IS is 13C6-rT3, 3 is T4 and 3-IS is 13C6-T4.
In Table 9, the effect of dilution or no dilution with 5% 1.15 M HEPES solution can be seen. Over the three-day individual testing period, the pH of the sera was consistently between 7.3 and 7.4 prior to extraction.
Another important feature is the consistency in the extraction and sample preparation of the calibrators between days. As shown in Table 10, the reproducibility of the slopes over the course of the days for both quantitative and qualifier transitions are below 5%.
With showing the consistency of the sample preparation and extraction of the calibrators and LC-MS/MS studies, the results and reproducibility for the six sera tested in quadruplets over the course of five days is shown in Tables 11 and 12, as well as a correlation graph in Figure 7. For the free T3 (range of 1.57 – 7.62 pg/mL), the interday RSD (%) was < 10%, while for free T4 (range of 4.4 – 60.3 pg/mL), the interday RSD (%) was less than 11%.
Using the data for the externally determined equilibrium dialysis prepared and internally prepared Supel™ BioSPME results, Figure 7 highlights the correlation between the two methods for the two analytes. For the two analytes, an R2 of >0.977 for both analytes show the strong correlation between the two methods. The slopes between the two methods (0.809 – 1.05) show the two methods further provide comparable results as well.


Figure 7. Correlation of free T3 (top) and free T4 (bottom) against two different sample preparation techniques. The ED-LC-MS/MS were determined externally by a validated method and laboratory.
Conclusion
In the past, free thyroid hormones levels, specifically free T3 and free T4, have been tested individually. However, there is now a method of sample preparation that allows for a single test to be conducted, offering a more efficient and convenient process for obtaining results. This technique, known as Supel™ BioSPME, also significantly reduces the sample preparation time from hours (as with equilibrium dialysis) to less than an hour. Consequently, this method has the potential to improve patient care by enabling quicker return of test results.
See also our webinar recording:
BioSPME: A Novel Sample Preparation of Clinically Relevant Analytes
REFERENCES
To continue reading please sign in or create an account.
Don't Have An Account?