Skip to Content
Merck

ChiPros Chiral Amines

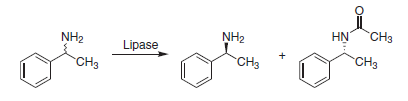
Chiral amines play an important role in stereoselective organic synthesis. They are used directly as resolving agents, building blocks or chiral auxiliaries. While classically available through racemic resolution with optically active acids, biotechnological approaches also open a way to chiral amines.1 BASF’s optimized lipase-catalyzed route to optically active amines (Figure 1) can be run at a scale of several thousand tons. Due to the wide range of substrates tolerated by the enzymes, a large variety of diff erent chiral amines and chiral aminoalcohols are commercially available.

Lipase-catalyzed resolution of racemic amines.

Figure 1.Lipase-catalyzed resolution of racemic amines.

Materials

Loading

References

1.
Breuer M, Ditrich K, Habicher T, Hauer B, Keßeler M, Stürmer R, Zelinski T. 2004. Industrial Methods for the Production of Optically Active Intermediates. Angew. Chem. Int. Ed.. 43(7):788-824. https://doi.org/10.1002/anie.200300599
Sign In To Continue

To continue reading please sign in or create an account.

Don't Have An Account?