Skip to Content
MilliporeSigma
HomeImaging Analysis & Live Cell ImagingCell Cycle Analysis Using a Nucleoside Triphosphate (NTP) Transporter Molecule for Rapid DNA Labeling in Living Cells

Cell Cycle Analysis Using a Nucleoside Triphosphate (NTP) Transporter Molecule for Rapid DNA Labeling in Living Cells

Kevin Su1, Nick Asbrock1, Vi Chu1, Tomas Kraus2

1MilliporeSigma, Temecula, CA, 2Institute of Organic Chemistry and Biochemistry AS CR, Czech Republic

Regulation of the cell cycle involves processes crucial to the survival of a cell, including the detection and repair of genetic damage as well as the prevention of uncontrolled cell division associated with cancer. The cell cycle is a four-stage process in which the cell 1) increases in size (G1-stage), 2) copies its DNA (synthesis, S-stage), 3) prepares to divide (G2-stage), and 4) divides (mitosis, M-stage). Due to their anionic nature, nucleoside triphosphates (NTPs), the building blocks of both RNA and DNA, do not permeate cell membranes. Traditional DNA incorporation cell proliferation assays that label nucleic acids with antibodies or by chemical ligation (BrdU, EdU) to measure cell cycle progression have been popular but are limited by requiring cell fixation, high cost and lengthy protocols.

The BioTracker NTP-Transporter molecule (SCT064) allows the selective and rapid incorporation of fluorescently labeled dUTP’s into DNA during the S-phase of the cell cycle to measure cell proliferation in living cells. Similar cell cycle profiles were produced using this new NTP-Transporter Molecule as analyzed by flow cytometry analysis and live cell imaging vs. BrdU based cell proliferation assays. This technology will allow new insights into cancer cell proliferation and progression.

Advantages of the NTP-Transporter Technology

  • Works in live cell cultures at single cell resolutions
  • Low cell toxicity
  • Preserves native cell conditions. No fixation required.
  • Rapid assay protocol
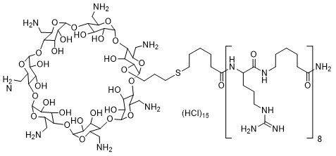
Chemical structure of the BioTracker NTP-Transporter molecule

Figure 1. Chemical structure of the BioTracker NTP-Transporter molecule. The NTP-Transporter is a bifunctional molecule consisting of 1) a receptor site that forms a highly‐stable non‐covalent complex with a triphosphate moiety such as fluorescently labeled NTP (ie. Cy3‐dUTP) and 2) a cell‐penetrating agent (CPA) capable of carrying the whole complex across the plasma membrane lipid bilayer.

Methods

Preparation of Tricine Buffer

  1. Add the following compounds to 900 mL of water: tricine (0.896 g; 5 mmol), glucose (2 g; 11 mmol), NaCl (7.325 g; 125 mmol), CaCl2 (0.200 g; 1.8 mmol), MgSO4 (0.100 g; 0.8 mmol), KCl (0.400 g; 5.4 mmol). Add pure (MiliQ) water to 1000 mL.
  2. Adjust the pH of the buffer with NaOH (1 mol/L; approx. 0.85 mL) to 7.40 at 31.0 °C.
  3. Filter it through 0.22 µm sterile filter and kept under sterile conditions at 0-2 °C.

Protocol for Live Imaging of DNA Labeling by Confocal Microscopy

  1. Seed cells in appropriate cell culture media.
  2. Incubate cells at 37 °C, 5% CO2 incubator overnight.
  3. Wash cells twice with tricine buffer.
  4. Incubate cells at RT for 10 min with a mixture of BioTracker NTP -Transporter Molecule (10 µM) and Cy3-dUTP (10 µM).
  5. After 10 min, remove staining solution and wash cells once with 400 µL 1X PBS.
  6. Add 400 µL culture media to cells and place in a confocal microscope stage incubator (37 °C with 5% CO2).
  7. Capture images using an appropraite filter (ex: 550nm, em: 570 nm).

NOTE: Treatment time and concentration depend on cell type. Conditions for several cell types are given in reference 1.

Protocol for Cell Cycle Analysis by Flow Cytometry

  1. Seed 1x105 cells into 6-well plate and grow in cell culture media to the desired confluency.
  2. Remove medium and briefly wash cells with tricine buffer.
  3. Incubate cells with a mixture (0.5 mL) of BioTracker NTP-Transporter Molecule (20 µM) and Cy3-dUTP (20 µM) in the tricine buffer for 3 min (37 °C; 5% CO2).
  4. Remove staining mixture and add culture medium (2 mL, 37 °C), incubate (37 °C; 5% CO2) for 30 min.
  5. Wash with PBS (2 mL, 37 °C), detach cells with 0.5 mL accutase (incubate for 7 min at 37 °C).
  6. Resuspend cells in culture medium (1 mL) and centrifuge for 5 min (20 g; 4 °C).
  7. Wash cells with PBS (5 mL), repeat centrifugation, remove PBS.
  8. Resuspend cells in PBS (0.5 mL), fix with cold 80% ethanol (4.5 mL; -20°C, dropwise with gentle shaking) and incubate on ice for 30 minutes.
  9. Centrifuge cells, remove ethanol and resuspend in counterstaining solution (0.5 mL; 15 µg DAPI per 1 mL of 40% ethanol; 0.06% Triton X-100; 1% FBS in PBS).
  10. Analyze cells by flow cytometry (DAPI: excitation 355 nm, emission 425-475 nm; area; linear; Cy3: excitation 561 nm, emission 574.5-589.5 nm).

NOTE: Treatment time and concentration depend on cell type. Conditions for several cell types are given in reference 1.

Results

BioTracker NTP-Transporter labels live proliferating cells

Figure 2. BioTracker NTP-Transporter labels live proliferating cells. Live U2OS cells (92022711) treated with 10 µM complex of NTP-Transporter + Cy3-dUTP (A-D) and U2OS treated with 10 µM BrdU and stained with AF488-BrdU antibody (E-H). Nuclei counterstained with Hoechst 33342.

BioTracker NTP-Transporter labels mitotic cells

Figure 3. BioTracker NTP-Transporter labels mitotic cells. Confocal time-lapse live-cell imaging of mitosis of TZM-bl cells; the DNA was labeled with Cy3-dUTP. Cy3 fluorophore is represented with red color. Scale bar is at 20µm.

BioTracker NTP-Transporter does not label DNA in non-proliferating cells

Figure 4. BioTracker NTP-Transporter does not label DNA in non-proliferating cells. Synchronization of the cell cycle at G1/S phase by serum starvation for 48h in U2OS cells. No DNA synthesis is detected in Serum-starved U2OS cells as indicated by no labeling of Cy3-dUTP (B) and confirmed by BrdU assay (E). Nuclei counterstained with Hoechst 33342.

BioTracker NTP-Transporter correlates well with EdU assay using flow cytometry analysis

Figure 5. BioTracker NTP-Transporter correlates well with EdU assay using flow cytometry analysis. Cell proliferation assay using A) BioTracker NTP-Transporter molecule/Cy3-dUTP complex; B) standard EdU (Eterneon Red 645 Azide, base click, BCK-FC647-50). Samples stained by the NTP-Transporter complex correlate well (< 5% difference) with staining by traditional EdU cell proliferation assays.

Conclusions

The BioTracker NTP-Transporter molecule enables the delivery of various fluorescently-labeled dUTPs into the nuclei of living cells. The complex of NTP-Transporter molecule and the NTP enters cells without apparent damage to the plasma membrane or a drop in cell viability. Flow cytometry analysis shows good correlation between NTP-Transporter-promoted DNA labeling with that of traditional BrdU/EdU cell proliferation assays. The NTP-Transporter works in live cell applications while BrdU does not, providing a new method to analyze cell cycle dynamics.

Materials

Loading
Sign In To Continue

To continue reading please sign in or create an account.

Don't Have An Account?