HDM-PAMPA with the MultiScreen Permeability Filter Plate
Assays that predict passive absorption of orally administered drugs have become increasingly important in the drug discovery process. As previously described by Faller1 and Kansy2 such assays provide rapid, low cost and automation friendly methods to measure a compound’s passive permeability. The HDM-PAMPA (HDM = Hexadecane Method) method is a non-cell based assay designed to predict passive, transcellular permeability of drugs in early drug discovery. The assay is carried out in a 96-well MultiScreen Permeability plate (MPC4NTR10) and measures the ability of a compound to diffuse from a Donor to an Acceptor compartment separated by a hexadecane liquid layer on a polycarbonate membrane support. This protocol note details the steps required to determine compound permeability rates across a hexadecane layer.
Experimental Materials
Reagents
- Hexadecane (for example: # H6703; Sigma Chemical Co., St. Louis, MO)
- Hexane (for example: # 27050-4; Sigma)
- Phosphate buffered saline (for example: # P-3813; Sigma)
Equipment
- MultiScreen® filter plate for Permeability (# MPC4NTR10; Millipore Corporation, Billerica, MA)
- PTFE Acceptor plate, optional (# MSSACCEPT0R; Millipore) or 96-well acceptor plate provided with the assay plate
- Spectramax® Plus microtiter plate reader (Molecular Devices, Sunnyvale, CA) or similar UV-Vis plate reader
- SoftMax® Pro software (Molecular Devices) (optional)
- UV compatible quartz plate (for example: # R8024; Molecular Devices) or 96-well Costar® with UV transparent bottom (for example: #3635 ; Corning Inc., Corning, NY) or Greiner UV-Star Plates—96 well flat bottom #655801 (Greiner Bio-One, Inc., Longwood, FL)
- Polypropylene reagent reservoirs (for example: # 175-RBAS-000; ELKay laboratory consumables Shrewsbury, MA)
- Multichannel pipette such as:
- Finnpipette® electronic pipettor (# 21377232; Thermolab Systems, Helsinki, Finland)
- Biohit® 8 channel electronic pipettor with polypropylene tips (# W67-710-800, W16-160045, Vanguard International, Neptune, NJ)
To measure the integrity (proper formation) of the hexadecane membrane:
- Ohm meter (#EVOMX-G, World Precision Instruments, Sarasota, FL)
- 96 well Trans Epithelial Electrical Resistance (TEER) testing tray (#MULTI-96 World Precision Instruments Sarasota, FL)
Protocol
- Prepare a 5% solution (v/v) of hexadecane in hexane (~3 mL/plate).
- Carefully pipette 15 µL of the hexadecane/hexane mixture onto the membrane of each well but avoiding pipette tip contact with the membrane.
- Allow the plates to dry for 1 hour in a fume hood to ensure complete evaporation of hexane resulting in a uniform layer of hexadecane. See Notes 1, 2.
- Add 300 µL of buffer (5% DMSO in phosphate buffered saline pH 7.4) to each well of the Acceptor plate. See Note 3.
- Place the hexadecane treated Donor plate into the Acceptor plate making sure the underside of the membrane is in contact with the buffer in each well.
- Dissolve drugs of interest in 5% (v/v) DMSO/PBS to the desired concentration and add 150 µL to each well in the Donor plate.
- Replace plate lid and incubate at room temperature for 5 hours. See Note 4.
- After incubation, analyze the acceptor plate for compound concentration. (See Note 5)
- Make up drug solutions at the theoretical equilibrium (i.e., the resulting concentration if the Donor and Acceptor solutions were simply combined) and similarly analyze.
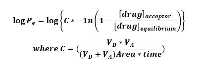
- The equation used to determine permeability rates (Pe) is displayed in Figure 1 and calculates log Pe. Variables for the equation are defined in Table 1.

Figure 1.Log Pe can be calculated from the equation as reported by Faller et al. (1)
Note 1: For consistent and optimal performance, it is important to allow for complete evaporation of hexane. Once evaporation is complete the hexadecane membrane is stable for weeks.
Note 2: To ensure the hexadecane layer is intact, electrical resistance measurements can be made both before and after permeability assays are conducted. Intact hexadecane layers exhibit extremely high electrical resistance (normally exceeding 25 kΩ.). Data from wells with electrical resistance measurements below 5 kΩ should be excluded.
Note 3: An acceptor plate is included in the packaging of the permeability plate. Alternatively, the PTFE Acceptor plate (# MSSACCEPT0R) is recommended in place of the packaged acceptor plate.
Note 4: To avoid evaporation, the plate should be placed in humidity controlled environment such as a sealed container with wet paper towels during incubation.
Note 5: Generally sample analysis using a 96 well UV/Vis plate reader is recommended. Sample quantification techniques such as scanning over a broad absorbance range (e.g. 250-500 nm), a single wavelength (λmax) or a summation of pre-selected fixed wavelengths are all acceptable for analysis. HPLC-UV or LC-MS/MS are also alternative means of detection.
Products
References
To continue reading please sign in or create an account.
Don't Have An Account?