Cholesterol Esterification
To more efficiently transport both dietary and synthesized cholesterol, it is converted to cholesteryl esters. Free cholesterol can be taken up by lipoproteins, but is confined to the outer surface of the particle. By converting cholesterol to cholesteryl esters more cholesterol can be packaged into the interior of lipoproteins. This vastly increases the capacity of lipoproteins, allowing for more efficient cholesterol transport through the blood stream.

Figure 1.Lecithin:Cholesterol acyltransferase (LCAT) is found in peripheral tissues and utilizes phosphatidylcholine as the source of acyl chains.
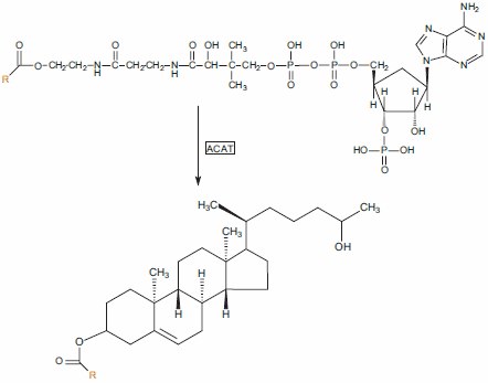
Distinct enzymes catalyze the cholesterol to cholesteryl ester conversion depending on the location of the reaction. The conversion of cholesterol to cholesteryl ester is catalyzed predominantly by lecithin:cholesterol acyltransferase (LCAT) in the peripheral tissues (Figure 1). In the lumen, dietary cholesterol absorbed by enterocytes is esterified by acyl-coenzyme A: cholesterol acyltransferase 2 (ACAT2), which is found in both the intestine and liver (Figure 2). ACAT1 is found in all tissues. LCAT and ACAT also differ in the sources they use for the acyl chains. LCAT uses phosphatidylcholine while ACAT uses acyl-CoA. Inhibiting these enzymes is one way of lowering the circulating lipids in plasma.

Figure 2.Acyl-coenzyme A:cholesterol acyltransferase 2 (ACAT2) is found in the liver and intestine, and utilizes acyl-CoA as the source of acyl chains.
Materials
To continue reading please sign in or create an account.
Don't Have An Account?