Performance Characteristics of the Mobius® ADC Reactor for Conjugation
Antibody-drug conjugates (ADCs) are designed to deliver a unique combination of specificity and potency. The monoclonal antibody (mAb) targets a surface antigen on cancer cells, to precisely deliver a highly cytotoxic active pharmaceutical ingredient payload to the tumor.
Section Overview
- The ADC Construct
- Single-Use Reactor for ADC Conjugation
- Mixing Performance of the Mobius® ADC Reactor
- Advantages of a Single-Use Solution for ADC Conjugation
The ADC Construct
In the ADC construct, the mAb and payload are connected via a linker which modulates stability of the drug and payload release following administration to patients. Conjugation is a critical step in ADC production which tethers the linker, attached to the payload (typically a small highly active pharmaceutical ingredient), to the mAb. Because the payload is a highly potent, toxic agent, the conjugation step requires special consideration for safe handling and containment and is typically performed in glass or stainless-steel reaction vessels or mixers.
Single-use technologies are increasingly being adopted in drug manufacturing to improve scalability, and flexibility, while reducing contamination risks and costs. Importantly, these technologies deliver significant time savings in process efficiencies related to setup, cleaning, and cleaning validation, particularly when highly toxic agents are involved. For ADC conjugation, single-use technologies streamline operations and minimize risk to operators and the facility.
Single-Use Reactor for ADC Conjugation
This page describes a series of studies to evaluate the mixing performance of Mobius® ADC Reactor for 10 L, 100 L, and 500 L sizes (Figure 1). Results from these studies provide a starting point for comparing our single-use reactor with glass and stainless-steel reactors and can serve as a reference to assist users in the integration of this single-use technology into their ADC manufacturing workflow.

Figure 1.10 L, 100 L, and 500 L single-use Mobius® ADC Reactors
Mixing Performance of the Mobius® ADC Reactor
Heating and Cooling Times of the ADC Conjugation Reactor
The ability of the ADC reactor to precisely control temperature is essential for successful conjugation. A study was conducted to determine the time required to heat and cool different volumes of USP water at various mixing speeds in the Mobius® ADC Reactors. Table 1 summarizes results for the 10 L, 100 L, and 500 L reactors with starting temperatures of 24.2–25.0 °C for the heating study and 36.5–37.7 °C for the cooling study.
For all reactor sizes, increasing revolutions per minute (RPM) reduced heating times. By contrast, higher RPMs had little to no effect on cooling times.
Table 1. Summary of heating (left) and cooling (right) times for 10 L, 100 L, and 500 L Mobius® ADC Reactors. Data was recorded (N/A) if splashing, bubbling, dimpling, or vortexing were observed.
Blending Times of the ADC Conjugation Reactor
In addition to heating and cooling, uniform mixing is essential during ADC conjugation.
To assess the mixing performance of the Mobius® ADC Reactors, a study was conducted in which acid and base were added into the carriers and the time required to reach a stable pH measured. Stable pH was defined as the point at which the measured valued was consistent to three decimal points for ≥3 seconds.
Table 2 summarizes the study results. For all reactor sizes, as mixing speeds increased, the average blend time decreased, however at higher RPMs, the effect of mixing speed on blend time was reduced. In addition, as the volume in any reactor increased, the average blend time also increased.
| Good | |
| Slight vortexing or dimpling/splashing/bubbling | |
| Vortexing/severe splashing/bubbling |
| Good | |
| Slight dimpling, may include bubbling | |
| Slight vortexing or dimpling/splashing/bubbling | |
| Vortexing/severe splashing/bubbling |
| Good | |
| Slight dimpling, may include bubbling | |
| Slight vortexing or dimpling/splashing/bubbling | |
| Vortexing/severe splashing/bubbling |
Table 2. Summary of blend times and mixing effects for 10 L, 100 L, and 500 L Mobius® ADC reactors.
Effect of Mixing Speed in the ADC Reactor
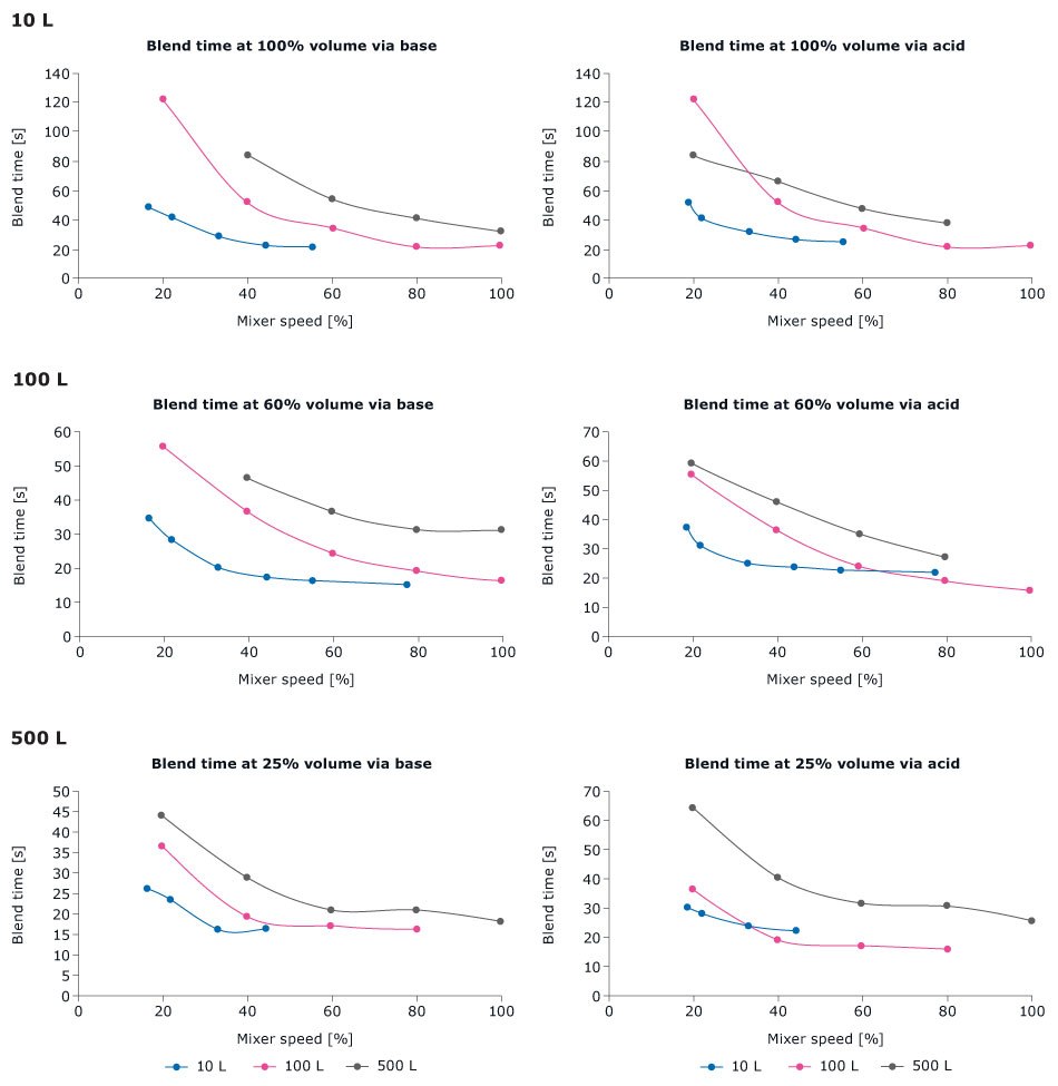
Acid and base blend times of the 10 L, 100 L, and 500 L Mobius® ADC Reactors are shown for 100%, 60% and 25% volume capacity, in Figure 2. Blend times across the three reactor sizes under normalized conditions (same relative volume capacity (% of nominal volume) at varying mixer motor output (% of maximum output) show similar mixing profiles.

Figure 2.Average acid/base blend time as a function of mixer speed (% maximum output) 10 L, 100 L, and 500 L Mobius® ADC Reactors at various volumes.
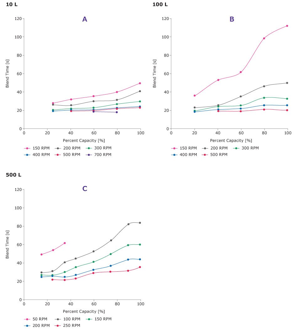
Blend times of the 10 L, 100 L, and 500 L Mobius® ADC Reactors at different mixing speeds and percent capacity (%) are shown in Figure 3. Blend times at varying mixing speeds are compared to show mixing profiles when operating at the same percent capacities (% of nominal volume).

Figure 3.Average acid/base blend time as a function of percent capacity for 10 L (A), 100 L (B), and 500 L (C) Mobius® ADC Reactors at various speeds.
Advantages of a Single-Use Solution for ADC Conjugation
Single-use technologies such as Mobius® ADC Reactors offer several advantages for the unique challenges of the ADC manufacturing workflow. This mixer was designed for optimal conjugation with single-use components that are compatible with solvents such as DMAc and DMSO, and has additional ports for material handling. This dedicated solution helps achieve faster turnaround times, avoids cross-contamination, minimizes cleaning and cleaning validation, without compromising product quality, process continuity or operator safety.
The results of these studies provide a foundation for implementation of the Mobius® 10 L, 100 L, and 500 L ADC Reactors in terms of heating and cooling times, acid/base blend times, and effects of mixing speeds. These data offer a starting point for comparing this single-use sytem to existing glass and stainless-steel reactors and could be useful in the integration of single-use technologies for ADC conjugation.
To learn more, read our white paper or
To continue reading please sign in or create an account.
Don't Have An Account?