New Hybridized Multi-Dendrimer Platforms Based on the Supramolecular Assembly Guided by Systematic CNDP Engineering
Mayank Kumar Singh,1 Donald Andrew Tomalia,1,2,3 Abhay Singh Chauhan,4*
The National Dendrimer & Nanotechnology Center, NanoSynthons LLC, Mount Pleasant, Michigan 48858, United States
2 Department of Chemistry, University of Pennsylvania, Philadelphia, ennsylvania 19104, United States
3 Department of Physics, Virginia Commonwealth University, Richmond, Virginia 23287, United States
4 Department of Biopharmaceutical Sciences, Medical College of Wisconsin-School of Pharmacy, Milwaukee, Wisconsin 53226, United States
Material Matters™, 2022, 17.2 | Material Matters™ Publications
Introduction
In 1979, while working in Dow Chemical Company Research Laboratory, D. A. Tomalia et al. discovered a homologous series of 3-dimensional, hyperbranched macromolecules that appeared to mimic “tree branching”. This fourth new class of polymer architecture both stunned and synergized the polymer world when it was first reported at a Winter Gordon Conference (1983), followed by several peer-reviewed publications (1984–86),1–4 and later in patents (U.S. Patent 4,507,466, Tomalia and Dewald, 1985). Synthesis of these unprecedented hyperbranched polymers began with a defined atomic or molecular initiator core. It involved a divergent, geometrically driven growth process that produced concentric layers of covalently branched poly(amido)amine (PAMAM) moieties around the core, much like the layers of an onion (Figure 1). These concentric PAMAM layers were reminiscent of annual growth rings found in trees (i.e., ”dendrochronology”) and prompted Tomalia to refer to these new polymeric architectures as dendrimers. This new term was derived from the Greek word “dendri” for branched and the word “mer”, meaning “part of”.

Figure 1.ADendritic polymers are open, covalent assemblies of number of branches.

Figure 1.B Subclasses of Dendritic polymer (IVa-IVd).

Figure 1.CMathematical expressions for calculating the theoretical number of surface groups (Z), branch cells (BCs), and molecular weights (MWs) for PAMAM dendrimers as a function of generation for the PAMAM dendrimer family, where: Nc, Nb = core, branch cell multiplicities; respectively, and G = generation. Reprinted with permission from reference 3, copyright 2004 Sigma-Aldrich; reference 5, 2005 Elsevier; and reference 6, 2012 Cambridge University Press.
Number of Surface Groups: Z=NcNbG
Number of Branch Cells: BC=Nc [NbG-1 / Nb-1] = Number of Covalent Bonds Formed/Generation
Molecular Weights: MW=Mc + Nc [MRU (NbG-1/Nb-1) +MtNbG]-
Dendrimers are precise, mathematically defined, covalent hyperbranched, macromolecular nanostructures. As such, their interiors are composed of quantized numbers of covalently bound monomers, whereas precise numbers of terminal functional groups reside on their surfaces as a function of the respective layers (i.e., generations) that surround the core (Figure 2). Historically, these Tomalia-type PAMAM dendrimers are recognized as the first dendrimer family to be synthesized and become commercially available with surface groups, as shown in Figure 3.

Figure 2.Architectural components of PAMAM dendrimer. Reprinted and modified with permission from NanoSynthons LLC.

Amino (AmA)
(Cationic Dendrimer)

Sodium Carboxylate (COONa)
(Anionic Dendrimer)

Tris(hydroxymethy aminomethane (TRIS))
(Neutral Dendrimer)

Amidoethanol(AmE)
(Neutral Dendrimer)

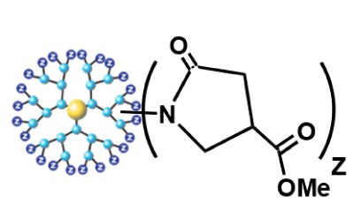
Carbomethoxypyrrolidone (CMePyrr)
(Neutral Dendimer)
Figure 3. PAMAM Dendrimer compositions with various surface functionality. Reprinted and modified with permission from NanoSynthons LLC.
Currently, dendrimers may be found in many commercial applications, including targeted cancer therapy (DEP® docetaxel, Starpharma), anti-microbicidal activity against HIV and HSV (VivaGel®, Starpharma), antiviral nasal spray to protect against SARS-CoV-2 (VIRALEZETM Starpharma), controlled delivery of herbicides (PriostarTM dendrimers, Agrium/Nutrien agrochemicals) and the measurement of cardiac markers (i.e., Troponin, Stratus® CS, Siemens) are just a few commercial dendrimer-based products to be mentioned. A more complete list of commercialized dendrimer-based formulations is summarized elsewhere by Chauhan et al.7
Next, we overview certain key intrinsic dendrimer features that may be systematically engineered to produce unique multi-dendrimer nano-devices that clearly differentiate dendritic systems from all other nanoscale structures.
A Systematic Framework for Unifying and Defining Dendrimer Structures
The dendrimer-based nanotechnology movement is a multidisciplinary area navigated by many traditional disciplines, including chemistry, physics, biology, mathematics, medicine, pharmacology, advanced materials, engineering, toxicology, and environmental sciences. Many of these important dendrimeric structures have been synthesized and optimized for specific performance/application objective by manipulating six well-defined intrinsic features referred to as “critical nanoscale design parameters” (CNDPs), which includes: (1) architecture, (2) elemental composition, (3) flexibility/rigidity, (4) shape, (5) size, and (6) surface chemistry.8,9 Systematically controlling/engineering these six CNDPs allows for developing “quantitative nanoscale structure versus activity” relationships (QNSAR). These unique dendrimer-based QNSAR relationships provide a simple and effective strategy for optimizing an almost unlimited number of desirable properties for a wide range of unmet needs and applications. More specifically, this dendrimer-based CNDP approach can potentially optimize supramolecular drug/guest encapsulation complexes or covalently conjugated active pharmaceutical drugs, usually via cleavable linkers, in concert with receptor functional targeting groups to the multifunctional dendrimer surface. These monodispersed, multifunctional dendrimer conjugates may be designed and engineered to specifically target designated receptor sites for various diseases, especially cancer.9 These smart, disease-specific targeting features demonstrated by dendrimers are not readily available in other known traditional nanoparticle or polymeric platforms.12 Many of these targeted, dendrimer-based conjugates (i.e., DEPTM) are currently exhibiting unprecedented benefits in Phase II and III human clinical trials for the treatment of cancer (https://starpharma.com/drug_delivery).
Supramolecular or Covalent Chemical Attachment of Drugs for Delivery
A wide range of guest molecules (i.e., APIs) may be physically or chemically associated with dendrimers. The supramolecular approach generally involves interior encapsulation (i.e., unimolecular encapsulation) of guest molecules involving hydrogen bonding/Van derWaal forces within the interior void spaces of symmetrically branched dendrimers and /or by charge-charge interactions at the dendrimer surface. These supramolecular associations depend mainly upon the chemical features of the guest molecules, the amount of interior void space available (i.e., the dendrimer generation), and/or the surface chemistry features of the dendrimer.10 The covalent chemical approach involves chemical conjugation of guest molecules with dendrimer surface moieties generally involving the integration of cleavable/hydrolyzable amide, ester or disulfide bonds, etc. to provide a release mechanism for making the drug bioavailable after targeting to a specific disease site.11
Not All Dendrimers Exhibit Unimolecular Encapsulation Properties Based on Interior Void Space.
Generally speaking, hundreds of dendrimer families have been synthesized and are available in an almost unlimited variety of elemental/functional compositions.6 That withstanding, all known dendrimer compositions may be sub-divided into two major categories, namely; (1) those containing symmetrical branch cells (i.e., Tomalia, Vögtle, Fréchet, Newkome type dendrimers) and (2) those possessing asymmetrical branch cells (i.e., Denkewalter type dendrimers).8 Essentially 99.5% of all reported dendrimer architectures possess symmetrical branch cell architecture (Category 1) in contrast to only a few examples of asymmetrical branch cell Denkewalter-type (Category 2) dendrimers. These asymmetrical dendrimers possess no available interior void space to allow unimolecular encapsulation of guest molecules.
Both dendrimer categories are recognized as offering many distinct advantages over conventional drug delivery systems. These advantages include: (a) precise, monodisperse nanoscale dimensions that may be (b) systematically enhanced as a function of generation, with (c) generationally dependent, mathematically defined numbers of surface groups that allow (d) the ability to attach desired multiples of drugs, targeting ligands or imaging agents, etc. by chemical conjugation. In the case of Category 1 dendrimers, multiple (hydrophobic and hydrophilic) drugs may be encapsulated within their interiors, usually, after dendrimer synthesis is completed, in contrast to micelles, liposomes, or other nanoparticles; wherein drugs are often encapsulated during the synthesis.12 As such, dendrimers are readily engineerable for use as advanced multifunctional systems with many unique features compared to conventional delivery systems. Most notable is the general use of highly water-soluble dendrimers as vehicles suitable for a wide range of administration modes, including intravenous, intranasal, ocular, oral, transdermal, and topical routes.10,13
Dendrimers for Drug Targeting to Specific Disease Sites
Dendrimers possess unique nanoscale dimensions and well-defined surface functionality that allow them to be more readily engineered for either (a) passive targeted or (b) receptor-mediated targeting compared to existing lipid or polymer-based drug delivery systems. Passive targeting (i.e., enhanced permeability and retention (EPR) effect), first pioneered by Maeda et al.,14 is primarily defined by the ability of a drug carrier to deliver therapy through leaky tumor vasculatures surrounding the tumors and into cancer cells by passive diffusion. Important drug delivery vehicle parameters such as critical nanoscale dimensions and optimum multiples/types of vehicle surface functionality may be readily designed/engineered into dendrimer-based vectors.
Historically, the current strategy of “receptor-mediated, active targeting” was first demonstrated/ pioneered by Tomalia et al. as early as 1994. This targeted approach involved using G=3; PAMAM dendrimer conjugates bearing tumor-specific, monoclonal antibodies and chelated radioactive indium-111. This in-vivo study clearly demonstrated that tail fin injection of this targeting conjugate into athymic mouse models bearing human tumor xenografts produced tumor localization of this radiotherapy within 17 hrs with enhanced localization (i.e., 21.6 % of injected dose/gram of tissue) after 48 hrs.
The successful use of these conjugated PAMAM dendrimers for active, receptor-mediated targeting therapy depends mainly on the ability to conjugate well-defined multiples of suitable targeting ligands (i.e., monoclonal antibodies, antibody fragments, or non-antibody ligands like peptide or small proteins) specific for binding overexpressed receptors residing at the target site. Dendrimers may be one of the most optimum platforms currently available for receptor-mediated targeting. This is primarily due to their monodispersity and mathematically defined conjugation sites.
A significant benefit expected from active targeting strategies using dendrimers is to enhance specific targeted cellular/intracellular drug uptake while minimizing whole body exposure to any drug toxicity. Although using a single ligand targeting platform has improved targeting efficiency, receptor-mediated endocytosis has become saturated with therapy usage, ultimately limiting dendrimer-drug conjugate penetration during cellular uptake. To improve this situation, various research groups have attempted to develop a dual- ligand based targeted dendrimer system based on a multi-step conjugation process. However, this approach appears to have certain limitations due to “nanoscale sterically induced stoichiometry” effects (NSIS).3,6,9,15 As such, an unmet need is to find an alternative to the multi-step chemical conjugation approach.
Heuristic Atom-Like Compounds at the Nanoscale Level; Dendrimers as Building Blocks to Create Stoichiometric Nano-compounds
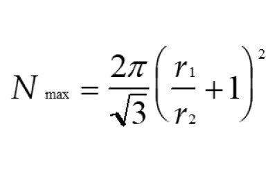
Dendrimers are widely recognized as heuristic soft matter-nano elements much as fullerenes, viruses, DNA/RNA, or proteins, as proposed in a Nanomaterials Classification Roadmap. These proposed nano-elements were demonstrated to exhibit reactivities/stoichiometric relationships at the nano level reminiscent of atomic level traditional elements found in the Mendeleev Periodic Table. In essence, it is possible to use dendrimers as reactive building blocks to design and synthesize more complex stoichiometric nano-compounds and nano-devices. Unequivocal examples of dendrimers exhibiting elemental, atom-like properties have demonstrated the synthesis of prior predicted stoichiometric nano-compounds. These stoichiometric nano-compounds are referred to as “surface saturated core-shell (tecto) dendrimers.16 The maximum number of “shell dendrimers” that may occupy the surface space surrounding a specific “core dendrimer” is defined by the ratio of the respective core/shell dendrimer radii (i.e., r1/r2) and the Mansfield-Tomalia-Rakesh equation. As such, the maximum number of spheroidal “shell dendrimers” that may be associated with a specific spheroidal “core dendrimer” may be predicted by the generational dimensions of the core and shell dendrimers, respectively as described in Figure 4. In all cases, these predictions were very accurately fulfilled by the actual synthesis and characterization of these stoichiometric nanoscale compounds. In general, these multi-dendrimer or core-shell structures are referred to as megamers.3,17

Figure 4.A Symmetry properties of core-shell structures, where r1/r2 < 1.2.

Figure 4.BSterically induced stoichiometry based on the respective radii of core and shell dendrimers.


Figure 4.C
Mansfield-Tomalia-Rakesh equation for calculating maximum shell filling when r1/r2 > 1.2. Reprinted with permission from reference 3, copyright 2004 Sigma-Aldrich. Further corroboration of these nanoscale principles and rules was demonstrated by the covalent attachment of spheroidal fullerenes to form a shell surrounding the surface of a designated spheroidal core dendrimer. Characterization of this dendrimer (core)–fullerene (shell) nano-compound revealed an experimental stoichiometry of 30:1 versus a predicted value of 32:1, based on the ratio of core dendrimer: shell fullerene radii, respectively.18,19
Dendrimer-Based CNDP Engineering for New Properties
Our group has continued to explore specific dendrimer structures, as well as their covalent nano-compounds and supramolecular nano-assemblies as a function of core, branch cell symmetry, interior elemental composition, shape, size (i.e., generations), and surface chemistry. These studies focus on a deeper understanding of how these CNDPs influence known properties, as well as the potential creation of new unpredicted properties of interest to nanomedicine or the development of new advanced materials. A recent example is the unexpected discovery of “dendrimer dipole” induced generation of terahertz radiation which occurred based on the systematic engineering of certain CNDPs associated with Tomalia-type PAMAM dendrimers.20,21 These dendrimer-based terahertz generators are the critical component required for new commercially available terahertz spectrometers produced by Applied Research & Photonics. Similarly, particular surface-engineered PAMAM dendrimers (i.e., pyrrolidone terminated) have been found to exhibit stealth-like properties similar to Pegylated drugs (U.S. Patent 10,968,176B2, Tomalia, Hedstrand and Nixon, 2021) whereas other surface modified PAMAM dendrimers,22 as well as specific Janus type dendron structures, are active as delivery vehicles for mRNA in the production of effective RNA vaccines against COVID-19 viruses and other pathogens.23
Dendrimer-Dendrimer Nano-Assemblies (Hybrid Dendrimers)
Similar CNDP engineering involving two or more different dendrimers has shown that they may be combined to work in a unique tandem type system to achieve new therapeutically desired release profiles. More specifically, it was found that PAMAM dendrimers may be simply combined (i.e., no covalent chemical reaction) to create new hybrid dendrimer compositions. (PCT/US2007/014402, Chauhan and Svenson, 2007). These hybrid dendrimers displayed an intermediate drug profile that may be predicted based on individual dendrimer behavior.12,24,25 This “hybrid dendrimer concept” involves combining two or more CNDP differentiated dendrimers possessing appropriate surface groups to form “non-covalent, multi-dendrimer” compositions. This generally involves combining carboxylic acid and amine surface moieties, wherein charge neutralized salts are formed at the connection interface. The objective is to capture certain unique features associated with the individual participating dendrimers by hybridizing these CNDP differentiated dendrimers to produce a multi-dendrimer nano-assembly without any covalent chemical reactions (Figure 5). This “hybrid dendrimer concept” may be visualized as a simple strategy for bypassing more complex covalent chemistry steps to prepare sophisticated dendrimer nanodevices exhibiting multiple ligands, imaging moieties, or drug molecules. In brief, the hybrid dendrimer concept may be viewed as a ‘click’-type CNDP engineering protocol for engineering certain desired features within a specific dendritic platform. These non-covalent, click-chemistry-based hybrid dendrimers provide a facile and rapid method for creating more complex, multifunctional dendritic platforms versus current multi-step covalent conjugation chemistry protocols.

Figure 5. Schematic diagram showing strategy for developing hybrid dendrimer-based nano-assembly of docetaxel and its role in enhancing aqueous solubility, modifying the dissolution and release profile with superior oral bioavailability. Reprinted and modified with permission from reference 12, copyright 2019 Elsevier. An unprecedented feature of such a “hybrid dendrimer system” was demonstrated by observing a completely unexpected efficacy for oral delivery of docetaxel (DTX) versus traditional intravenous drug injection. Very briefly, simple oral administration of DTX in a hybrid dendrimer formulation exhibited a remarkable pharmacokinetic (PK) profile which was shown to be completely equivalent to a more invasive, complicated intravenous injection of commercially available docetaxel (Taxotere®). The PK parameters associated with the hybrid dendrimer formulations revealed a substantially higher potential for supporting the DTX plasma circulation time. Furthermore, the DTX-loaded hybrid dendrimer formulations exhibited higher area under the curve (AUC) and area under the moment curve (AUMC) than DTX loaded in either cationic (i.e., amine terminated) or anionic (i.e., carboxylate terminated) dendrimers, respectively. Moreover, the AUC of commercially available Taxotere® (intravenous) was almost parallel to orally administered hybrid dendrimer formulations and higher than either individual anionic or cationic terminated dendrimers (Figure 6).

Figure 6Comparative mean plasma concentration-time profile of docetaxel with various dendrimers (Amine, Carboxylate, and Hybrid) (Mean±SD; n=8) and intravenous marketed formulation of DTX (Taxotere®) (Mean±SD; n=4) at a dose of 10mg/kg body weight in SD rat. Reprinted and modified with permission from reference 12, copyright 2019 Elsevier.
Dendrimer-Nanoparticle (i.e., albumin) Hybrid Nano-Assemblies
Dendrimer-Nanoparticle (i.e., albumin) Hybrid Nano-Assemblies
Although few examples of dendrimer-soft nanoparticle hybrids have been reported, cationic G4 PAMAM dendrimers have been tethered by the self-assembly with anionic albumin. (Tekade et al. 2015). These unique dendrimer-albumin hybrid systems were utilized to entrap paclitaxel within the dendrimer components, whereas the albumin components of the hybrid system were used to anchor specific targeting ligands. These dendrimer-albumin hybrid nano-assemblies exhibited enhanced inhibition of cancer cells compared to paclitaxel in combination with albumin nanoparticles.25
Conclusion
After nearly four decades since the discovery of dendrimers, the quantized nature and mathematically defined components of these structures are becoming more fully recognized. Six well-defined “critical nanoscale design parameters” (CNDPs) of dendrimers: architecture, elemental composition, flexibility/rigidity, shape, size, and surface chemistry are now being systematically engineered to provide optimized candidates for many commercial applications. These diverse applications range from their use as terahertz generators to targeting vectors for drug delivery. Recent work has shown that supramolecular, non-covalently bonded assemblies of dendrimers referred to as “hybridized dendrimer nano-assemblies” appear to capture unique CNDP features manifested by their individual dendrimer components, producing novel high value properties in the delivery of drugs. The multi-dendrimer nanoelements can be welded together to create sophisticated nano-compounds with the ability to communicate, stay in sync, and develop biological machines for advanced therapeutic applications.
Acknowledgment
We are grateful to Ms. Linda S. Nixon, NanoSynthons LLC (MI, USA), for the critical graphics and editing of this manuscript.
Products
References
To continue reading please sign in or create an account.
Don't Have An Account?