Group 11 Thin Films by Atomic Layer Deposition
Sean Barry
Department of Chemistry, Carleton University, Ottawa, Ontario K1S 5B6, Canada
Material Matters, 2018, 13.2
Introduction
Copper metal deposition processes are an essential tool for depositing interconnects used in microelectronic applications, giving group 11 (coinage metals: Copper, Silver, and Gold) an important place in atomic layer deposition (ALD) process development. A significant amount of development has been invested in the design and improvement of both processes and precursors of Cu+ and Cu2+ oxidation states over the last 20 years (see Figure 1).

Figure 1.The cumulative number of coinage metal ALD processes developed over the past 20 years.
The timeline for the development of silver and gold metal deposition precursors roughly follows their standard potentials (Table 1). This is probably due to ease of synthesis and isolation, since the reactivity of metal deposition precursors is loosely governed by their standard potential. A key element of precursor development is testing thermal stability, so processes involving Ag+ and Au3+ were quickly developed, but many high potential cations have still not been successfully incorporated into precursors.
In this article, we will discuss coinage metal deposition processes in order to provide a sense of the most critical precursors, reducing agents, and processes. This review is not comprehensive, but rather a brief perspective on the current state of the art. For a more in-depth discussion on precursor and process tabulation see the recent review by Puurunen.
Copper
Copper metal has been very well studied and a tremendous number of copper-based precursors have been developed, including halides, amidinates, guanidinates, β-diketonates, and aminoalkoxides (Figure 2).1 In general, thermal copper depositions can occur over a wide temperature range (120– 500 °C), while plasma and catalyzed depositions occur as low as room temperature, with the energy necessary for the process being supplied by the plasma, or circumvented by the catalyst. Interestingly, many depositions of copper by ALD start to exhibit non-self-limited, contionous growth (i.e., chemical vapor deposition, CVD) at 200–230 °C. Precursor examples (Figure 2) include Cu+ centers but are dominated by Cu2+.

Figure 2.A representative array of currently available precursors for copper metal deposition.
The Cu2+ dication is reduced relatively easily to copper metal measured against the oxidation of H2, but Cu2+ is the most difficult to reduce of any of the common oxidation states of any coinage metal. This might account for the tendency of copper precursors to have chemisorbed moieties containing Cu+, even if the precursor contained Cu2+ (see Table 1). A good example of this phenomenon can be seen with the copper(II) aminoalkoxides (Figure 3).

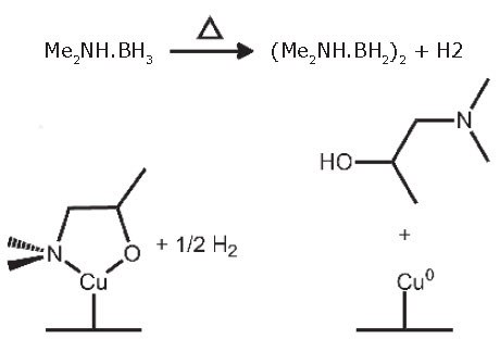
Figure 3.Thermal dehydrogenation of an aminopropoxide at a surface copper.
The mechanism for the thermal dehydrogenation of an aminoalkoxide at a copper surface was first elucidated in 1993 and the model for chemisorption was published in 2012. The model described chemisorption of the Cu+ species, while experimental work completed in 1996 demonstrated the presence of both the aldehyde and the alcohol from the aminopropoxide ligand. This thermal behavior is not selflimiting, yet Bis(dimethylamino-2-propoxy)copper(II) (Cu(DMAP)2) has been shown to undergo ALD using a variety of reducing agents including diethyl zinc, formic acid/hydrazine, and boranedimethylamine. The additional methyl group in the beta position prevents aldehyde formation and arrests thermal decomposition. The DMAP precursor is still able to undergo ALD growth, including by reaction with amino borane, which is essentially a source of hydrogen at the reaction temperature to produce copper metal at the surface (Figure 4).7

Figure 4.A copper DMAP surface moiety can be reduced to metallic copper and the parent ligand by dihydrogen generated from the thermal decomposition of borane dimethylamine.
An interesting note about Cu(DMAP)2 is that it has covalently bonded oxygen. From a precursor design point of view, this bonding arrangement is generally avoided since any atom bonded directly to the metal center is at considerable risk of becoming incorporated in the metal film as an impurity. Obviously, in the case of this precursor, this is unfounded.
Silver
Silver metal ALD processes are much scarcer due to silver’s lower standard potential and thus lower reactivity. It can be difficult to design a silver-containing precursor that has the thermal (and photo) stability to withstand volatilization. The first silver metal deposited by ALD was in 2007, from a phosphinesupported silver(I) carboxylate. This process had a growth rate of 1.2 Å/cycle, but was only viable at 140 °C due to both volatility and a low thermal decomposition temperature of the precursor. Additionally, significant impurities were observed in the resulting film, including 10% oxygen contamination.
In 2014, trimethylphosphine-supported silver(I) hexafluoroacetoacetonate was shown to undergo thermal ALD of silver metal using both formalin (aqueous formaldehyde stabilized with methanol) in an two step type process, and with trimethylaluminum (TMA, Cat. No. 663301) and water in three step process. In the first instance, the silver metal had a growth rate of 0.7 Å/cycle at 200 °C, although it showed somewhat slower growth at 170 °C. With TMA and water, the growth rate was significantly lower, about 0.2 Å/cycle at 110 °C. Interestingly, the growth rate could be improved with multiple, sequential doses of TMA/water, which appeared not to show saturation. The authors speculated that the TMA and water pulses were removing hexafluoroacetoacetonate moieties from the surface, allowing better nucleation of the incoming precursor.
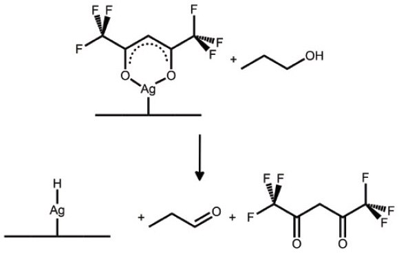
The precursor hexafluoroacetylacetonato 1,5-cyclooctadiene silver(I) (hfacAgICOD, Cat. No. 348198) is another early example of silver metal deposited by thermal ALD used by injection of the precursor dissolved in toluene, followed by a propanol wash. The publication does not describe the ALD process in detail, but suggests the propanol undergoes oxidative dehydrogenation (possibly catalysed by the silver metal) and that this is responsible for the reduction of the silver (Figure 5).

Figure 5.The oxidative dehydrogenation of propanol to produce a silver hydride moiety at a substrate surface.
The process was further investigated to determine the ALD process parameters and surface chemistry, highlighting several mechanistic points. First, it showed the cyclooctandiene is lost either in solution or during volatilization, emphasizing the surface moiety should be AgIhfac (Figure 5). Second, the ALD temperature window was very small (between 121–130 °C) and any deviation adds a CVD element to the growth. Finally, the silver hydride surface was shown to improve the kinetics of monolayer formation when carried through to the introduction of the hfacAgICOD. This result was also predicted computationally to enhance coverage. Ultimately, the process results in a nominal growth rate of 0.16 Å/cycle when run at 125 °C, which is low considering that chemisorption might be partially aided by the existence of a surface hydride. This same precursor shows similar growth rates (0.20 Å/cycle) over a slightly larger temperature window (105–128 °C) when tertbutylhydrazine was used instead of propanol. The enhanced process characteristics are thought to be due to the thermal rearrangement of tertbutylhydrazine to hydrazine and isobutene, where hydrazine undergoes oxidative dehydrogenation much more readily than propanol:
(CH3)3CNH-NH2 → (CH3)2C=CH2 + H2N-NH2
A similar silver compound (AgI(fod)PEt3) was shown to deposit silver metal using hydrogen plasma as the reducing agent. The process was viable over a small temperature range: at 120 °C, saturative growth was shown to be 0.3 Å/cycle, and at 140 °C, it was 0.4 Å/cycle. The same precursor was used with methylamine−borane (BH3(NMe2H)) as the reducing agent and showed saturative growth between 104 °C and 130 °C with a rate of 0.3 Å/cycle. One benefit of using AgI(fod)PEt3 is the ease of its synthesis. Starting with AgO, the precursor can be made in 96% yield using standard Schlenk techniques.
Deposition of AgI(fod)PEt3 can also be achieved using a plasma generated from ammonia gas. Interestingly, when plasma ammonia is used, the authors report the growth rate increased significantly to 2.4 Å/cycle and the oxygen impurity decreased to 2%. Nitrogen impurity was shown to increase from 2% to 7% when using hydrogen plasma with the use of plasma ammonia. The authors attributed both the improved growth rate and nitrogen impurity to a longer lived amine defect on the silver surface that allows better nucleation of the silver precursor on the surface. In contrast, the hydrogen-terminated silver likely has a shorter lifetime, and so nucleation of AgI(fod)PEt3 is not as kinetically viable, resulting in a low growth rate (Figure 6).

Figure 6.The nucleation of AgI(fod)PEt3 was found to occur more readily with an amine-terminated surface than with a clean silver metal surface.
Gold
Gold metal processes by ALD are very rare — only two have been published to date. The first used Me3AuIIIPMe3 (Figure 7) and oxygen plasma, followed by water. This three step process has a growth rate of 0.5 Å/cycle and a narrow ALD window of 120–130 °C, with CVD occurring at higher temperatures. Interestingly, this process produces a film containing gold and phosphorous in the absence of the water pulse, and requires the water to convert the P2O5 formed by oxygen plasma exposure to H3PO4, which becomes a volatile by-product. The second gold ALD process uses Me2AuIII(S2CNEt2) (Figure 7) and ozone to produce gold metal with a growth rate of 1.1 Å/cycle. In this process, the ALD window is broader and reaches a higher temperature (120–200 °C), and the growth rate is significantly higher than the first process. Another significant difference in these processes is in the precursors: Me3AuIIIPMe3 is a liquid at room temperature that can be synthesized with an overall 93% purified yield, while Me2AuIII(S2CNEt2) is a room temperature solid with an overall purified yield of ~10%. However, gold metal is now accessible from both plasma and thermal ALD processes, with reasonable growth rates. Although there is still much room for improvement, thus indicates that gold can now be considered an ALD-accessible metal.

Figure 7.The two currently available processes for the deposition of gold metal by ALD.
Conclusions
The three coinage metals (copper, silver and gold) are all accessible through multiple ALD processes. Copper processes are the most well-developed, due to the commercial use of copper metal interconnects on the nanometer scale, coupled with the straightforward synthetic chemistry of coppercontaining inorganic and organometallic compounds. There are a large number of copper precursors with various ligands, and processes include thermal methods at a variety of temperatures as well as plasma processes that can be used to deposit copper metal reliably. Presently, the preferred copper precursor appears to be CuII(DMAP), due to its ease of synthesis, versatility of deposition processes, and the low impurity of the resulting films.
Silver and gold metal deposition processes are less mature than processes using copper. Silver metal has been deposited by a variety of β-diketonate precursors, with fluorinated ligands showing the best results. Several of the silver processes have been very well characterized, and this should allow additional improvement of silver-containing ALD precursors.
For gold, the only two currently available processes cover thermal and plasma, but development has really just begun. The first true gold metal process was introduced in 2016, with the second following in 2017. Further understanding of both processes is required, and further precursor development will certainly help address the specific challenges for deploying gold across a wider temperature window with increased possibilities for surface chemistry. The lessons learned about copper ALD can now be applied to deposition of silver and gold, and the possibilities are just beginning to be explored.
Materials
References
To continue reading please sign in or create an account.
Don't Have An Account?