Functionalization of Fluorescent Nanodiamonds for Bioimaging
What are Fluorescent Nanodiamonds?
Fluorescent nanodiamonds (FNDs) exhibit distinct properties such as high biological compatibility, infinite photostability, absence of photoblinking, long fluorescence lifetime (>10 ns), and ease of biofunctionalization. These properties make FNDs an attractive imaging reagent alternative compared to quantum dots, organic dyes, and fluorescent polymer beads.1-3 The fluorescence in FNDs originates from nitrogen-based color centers. Infinite photostability arises because these color centers are structurally incorporated into the lattice and are well-protected from the external environment. Applications of FNDs include background-free long-term cell imaging, tracing of cell progeny, flow cytometry, super-resolution imaging, correlative microscopy, labeling of low-abundance cellular components, and image guided surgery.3-4 In addition to characteristic fluorescence, the negatively charged nitrogen-vacancy color center in FNDs is spin active. This enables FNDs for fluorescence modulation with external stimuli such as electromagnetic field, temperature, and strain. These capabilities make FNDs excellent quantum nanosensor material that enable high precision measurements of temperature changes in an intracellular environment.5
Characteristics of Fluorescent Nanodiamonds: Color, Brightness, and Size
Emission from the primary color centers in FNDs spans the visible spectrum and the emission wavelength is tuned through variations in coordinated substitution of nitrogen (N) and vacancies (V). For example, a FND consisting of NV centers emits in red/NIR regime whereas one with NVN centers emits green light. FNDs with N3 center emits blue light. Among the FNDs with different color centers, those with NV and NVN centers are most extensively studied. Fluorescence intensity in FNDs scales with particle size (which exist between 10 nm to 1 μm) because more centers per particle become available with increasing particle volume. In fact, it has been demonstrated that an 80 nm FND with 3 ppm NV- centers as measured by electron paramagnetic resonance, exhibits approximately 10 times brighter emission intensity than a single Atto 532 dye molecule.6
As a carbonaceous material, surface modification of FNDs is rooted via modification of organic functional groups. Major chemical functionalities available for FNDs are carboxylic acids (-COOH), hydroxyls (-OH) groups, and amines (-NH2). These functionalities allow for conjugation of ligands via a variety of standard organic chemistries (e.g. amidation, esterification, silanization). Among various surface functionalized FNDs the carboxylated FND in particular serves as a versatile starting point for subsequent modifications necessary for biological use.
Nanodiamonds scatter light strongly, which can be useful both for directing and attenuating light. Visually, solutions of large nanodiamond particles appear milky-white down to approximately 50 nm. Below 50 nm, the solution starts to adopt a transparent brown/amber color (Figure 1). The clarity of light transmitted is an indication of particle size, and as such is useful for monitoring colloidal stability during particle functionalization. The appearance of haze or grayness after functionalization or alteration of the nanodiamonds when viewed from the side can be an indication of aggregation. In many cases, the aggregation is reversible and can be mitigated by resuspending the particles in a suitable solvent better matched to the surface chemistry of the particle (hydro-philic or hydro-phobic).

Figure 1.Suspensions of 20, 40, and 100 nm FND particles in deionized water. Extensive light scattering of large particles causes the 100 nm suspension to appear milky-white in color. The slight reduction in optical clarity of the sample containing 40 nm particles as compared to the one with 20 nm particles is indicative of greater light scattering from larger particles. Suspensions adopt a brown/amber color when sizes are small enough that light scattering is reduced. In all these suspensions the concentration of FNDs is approximately 1 mg/mL.
Note that even though most of the commercial FND particles are sold on weight per unit volume (w/v) basis, it is useful to know their particle number concentration (i.e. particles per unit volume) for further surface modification. As particle size decreases, for a constant mass loading, the particle number concentration increases dramatically. This increases the number of possible reactive sites and reduces the inter-particle spacing which enhances the possibility for aggregation. Therefore, successful functionalization requires tuning of the particle number concentration. The particle number concentration (C (M)) can easily be determined by inputting the particle diameter d (nm) and weight/volume concentration (x in mg/mL) derived from diamond density, mass per particle, and Avogadro’s constant:

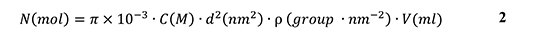
The number of surface sites available in a reaction (N) involves the areal density of surface COOH groups (ρ, roughly 0.5-1 group/nm2), volume of particle solution used (V), and particle surface area (d):

Biofunctionalization Strategies for Fluorescent Nanodiamonds
Carbodiimide coupling of amines to carboxylic acids is an effective method of attaching molecules to ND surfaces. EDC/NHS [1-ethyl-3-(3-dimethylaminopropyl)carbodiimide/N-hydroxysuccinimide] is a well utilized variant which allows direct reaction of primary amine terminated groups to carboxylic acids. Alternatively, the reaction may proceed through an intermediate activation step where first the carboxylic acid is activated by either NHS or NHS-sulfo and then the amine is reacted after cleaning the coupling reagents.7 This second route is particularly useful for heterofunctional groups containing both amines and carboxylic acids (such as proteins) that may polymerize.
Often, successful functionalizations reduce the inter-particle electrostatic repulsions that provide stability to particles covered with ionogenic groups dispersed in a solvent. As both EDC and NHS passivate surface negative charges, the reduced zeta potential reduces the stabilizing repulsions and this can result in aggregation. NHS-sulfo, which has a conjugated sulfate group, is often used to increase particle stability during functionalization by maintaining negative charge. Elevated ionic strength can also cause adverse effects in biological media and functionalization with hyperbranched PEGs have been shown to be effective in circumventing this.8 Other strategies to maintain particle stability during functionalization include use of PEGylated carbodiimides9 or reduction in the total concentration of particles and reagents.
Click chemistry mediated conjugation is another facile way to link biomolecules to the diamond surface. Tetrazine functionalized ND, for example, can be reacted with transcyclooctene at room temperature to label particles with proteins or antibodies with fast reaction kinetics (up to 26,000 M-1s-1).10-12 This method of conjugation benefits from elimination of reaction catalyst, high orthogonality of reaction, and reduction in the waste of expensive reagents.13
Protein Modified Fluorescent Nanodiamonds
The avidin-biotin interaction is one of the most popular strategies in biotechnological and biomedical applications and is particularly useful for intracellular labeling with FNDs;2 any form of ND modification is best aided by PEGylation, which provides a soft layer that preserves the protein form and allows less steric hindrance.
The example below is provided for large, submicron-sized FNDs, which can be easily observed as individual particles in a regular fluorescent microscope. Submicron-sized FNDs are useful for validating reaction efficiency and also serve as a convenient platform for chemical developments and educational outreach. Biotinylated FNDs containing NVN centers (green) and streptavidin functionalized FNDs containing NV centers (red) each carrying multiple copies of either streptavidin or biotin were used for the experimental results shown in Figure 2. Incubation time and particle concentrations greatly influence the resulting conjugates. Low concentrations of starting red and green FNDs with short incubation times result in dimers and trimers of conjugated particles (Figure 2a). However, over time, due to the multivalency of the particles, multi-particle aggregates assemble in an ordered nature with alternating colors (Figure 2b). The alternate arrangement of biotin and streptavidin functionalized FNDs indicates that these particles can also be used for particle self-assembly.5

Figure 2.Images of coupled sub-micron biotinylated FNDs containing NVN centers (green) and streptavidin functionalized FNDs containing NV centers (red), comparing a) 30 minute incubation time and b) overnight incubation.
Utilizing the same streptavidin chemistries as demonstrated above, Figure 3 highlights streptavidin functionalized 40 nm red FND labeling of a biotinylated internal target in mouse macrophage cells. Morphology and FND localization can be clearly observed here. This clearly demonstrates that 40 nm FND’s brightness is high enough for intracellular labeling.

Figure 3.Streptavidin functionalized 40 nm fluorescent nanodiamond containing NV centers (~2 ppm) targeting a biotinylated intracellular target, with comparison and overlay to DAPI (4’,6-diamidino-2-phenylindole) stained nuclei. Image courtesy of Dr. Lindsay Parker, ARC Centre of Excellence in Nanoscale Biophotonics, Department of Chemistry and Biomolecular Sciences, Macquarie University, Sydney, Australia.
Conjugation Protocols for Nanodiamonds
a) Streptavidin Functionalization
Carboxy polyethylene glycol ND (ND-PEG-COOH) is a good starting point for streptavidin functionalization. While it is possible to run the reaction in water, performing this in DMF increases the stability of NDs, improves the NHS-sulfo activation and decreases the aggregation. It is important to consider the number of available reactive sites while determining specific reaction conditions because this varies with size.
- Centrifuge ND particles in water at minimum RCF necessary to create a pellet.
- Suspend pellet in DMF to <50 nM (typically <1 mg/mL) and bath sonicate for five minutes. Particles should easily resuspend.
- Add NHS-sulfo and EDC in ~300x molar excess to the number of reactive sites while adding NHS-sulfo first. For example using expression 1 & 2 the amount of NHS-sulfo and EDC for 50 nm particle is estimated to be 140 nmol/mg. It should be noted that in most cases, 1 mg of EDC/NHS is more than sufficient unless aggregation becomes a problem. In the instances where aggregation becomes a concern, the amounts of EDC/NHS should be lowered.
- Vortex the solution from step 3 briefly and allow to react 30 min with intermittent vortexing and bath sonication. Solution may turn hazy with some soft aggregation.
- Wash particles with DMF by pelleting particles at low RCF (<1000 x g should be sufficient) and re-suspending in DMF.
- Pellet at low RCF and resuspend in water (<50 nM, typically <1 mg/mL) and bath sonicate to fully break pellet. At this stage, conjugation is recommended in DI or low ionic strength (<10 mM) buffer for maximum stability.
- Add streptavidin in excess. Vary the streptavidin amount based on desired coverage and allow the reaction to occur for 2-4 hours. Note that 100x streptavidin compared to particle number concentration is a good starting point. However, the amount may be lowered if some aggregation is observed. The excess is important to prevent interparticle bridging by streptavidin itself.
- Wash particles at least 2x with end buffer of choice to remove excess streptavidin. If centrifuging, remaining reactive groups on ND surface may be quenched by addition of a small molecule containing an amine (tris or glycine) to avoid aggregation from pelleting. Alternatively at this stage, dialyzing particles with large pore size (>150 kDa MWCO) membrane can prevent centrifugation based aggregation. For increased stability, final particles can be resuspended in 0.1% BSA in PBS.
- Once FNDs are functionalized with streptavidin, they should be stored at 4 oC (not frozen). The properly stored functionalized NDs should maintain activity for several months.
b) Biotinylation
Biotinylation of NDs can easily be achieved by direct reaction of NHS-conjugated PEG-biotin (Aldrich Prod. No. 670049) with aminated NDs (ND-NH2). Alternatively, aminated NDs with a PEG coating can also be conjugated directly to Biotin-NHS.
- ND-NH2 is centrifuged out at low RCF (e.g. 5000 rcf) from water and resuspended in DMF (or alternative NHS conjugation buffer).
- NHS-PEG-Biotin is added at desired molar excess to reactive sites (1-10x) and reacted overnight.
- Particles should be washed 2x through DMF or water and suspended in desired final buffer.
- Particles should be stored at 4 oC (not frozen). The properly stored functionalized NDs should maintain activity for several months.
c) Coupling Biotinylated/streptavidin Functionalized Nanodiamonds
Coupling between biotinylated and streptavidin functionalized moieties is facile and merely involves incubation of the two for short periods of time (e.g. 30 min). Coupling of larger particles or inter-particle coupling may take longer to conjugate due to reduced translational and rotational freedom induced by the particle size and statistical chances of binding. While designing incubation times, it is important to consider and tune the multivalency of either streptavidin or biotinylated elements. Blocking agents (such as BSA, detergent, glycerol) can be added to prevent non-specific binding without reducing streptavidin /biotin activity.
In summary, FNDs are excellent fluorescent platforms for biomedical applications requiring prolonged and/or intense illumination. The conjugation of FNDs is similar to typical organic-based molecular fluorochromes, and their per particle brightness makes them very useful for labeling of low-level expressed targets. Their realization in the laboratory can help expand the capabilities available to researchers beyond those of traditional organic dyes.
Request the “Nanomaterial Bioconjugation Techniques” guide with step-by-step protocols for surface modification and bioconjugation of inorganic nanomaterials for diagnostic applications.
Acknowledgment: The work has been funded by the NHLBI, Department of Health and Human Services, under Contract No. HHSN268201500010C.
Materials
References
To continue reading please sign in or create an account.
Don't Have An Account?