Heterocyclic Aryne Precursors: New Opportunities for the Synthesis of Highly Substituted Indoles and Pyridines
Introduction
New and efficient methods for the synthesis of functionalized heterocycles are highly sought after. A powerful means to achieve this goal, specifically for the synthesis of medicinally privileged indole and pyridine heterocycles, exploits heterocyclic aryne intermediates. This chemistry has been greatly facilitated by the syntheses of silyltriflate precursors to ‘indolynes’ and ‘pyridynes’. Shown below are the structures for ‘indolyne’ precursor1 and ‘pyridyne’ precursors2,3,4. Heterocyclic aryne precursors1-3 were recently described by Prof. Neil Garg’s laboratory.

Figure 1.‘indolyne’ precursor1 and ‘pyridyne’ precursors
Advantages
Many methods for the synthesis of substituted heterocycles exist. By using heterocyclic arynes, a common precursor can be used in an array of aryne trapping experiments to prepare libraries of products. These products may arise from nucleophilic addition of carbon or heteroatom nucleophiles to the aryne in order to introduce a single substituent. This is complementary to cross-coupling chemistry, although products of both ipso and cine substitution can be obtained. The synthesis of disubstituted derivatives can be accomplished through a variety of sigma bond insertions, metal-catalyzed reactions, or cycloaddition reactions with partners including dienes, azides, and nitrones. Moreover, reactions proceed under mild fluoride-based reaction conditions and are readily performed on the benchtop. The methodology is tolerant of halides and other cross-coupling partners. If a halide is present near the aryne, it may be used to influence the regioselectivity of the reaction.
Representative Applications
1. In 2010, Garg and coworkers demonstrated that indolyne precursors be used to access substituted indoles, such as Diels–Alder and azide cycloaddition products.1

Figure 2.indolyne precursors
2. Pyridyne precursors can be elaborated to novel pyridine derivatives through nucleophilic trapping or cycloaddition experiments.2 The use of the parent 3,4-pyridyne precursor gives regioisomeric products for analog synthesis, whereas the 5-bromo derivative gives greater regiocontrol and a functional group handle for further elaboration.

Figure 3.Pyridyne precursors
3. Trapping of the bromopyridyne with dimethylimidazolidinone gives interesting annulated products.2,3 Pd-catalyzed reactions of the pyridyl bromide furnish 3,4,5-trisubstituted pyridynes. The bromide can also be removed reductively

Figure 4.Trapping of the bromopyridyne with dimethylimidazolidinone
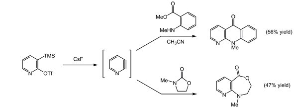
4. The 2,3-pyridyne serves as a versatile building block for the synthesis of novel pyridine derivatives.3,4

Figure 5.pyridine derivatives
Materials
References
To continue reading please sign in or create an account.
Don't Have An Account?