Potassium Trifluoroborate Salts
Boronic acids, boronate esters, and organoboranes have been utilized for many years as the primary boron source in Suzuki–Miyaura-type reactions. These organoboron reagents have inherent limitations including: 1) boronic acids are often difficult to purify and have uncertain stoichiometry; 2) the boronate esters lack atom-economy and thus detract market value; and 3) boranes are limited by their hydroboration method of preparation, are air-sensitive, and lack functional-group compatibility.
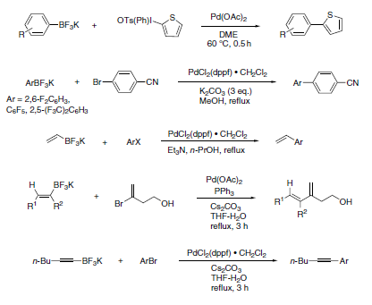
Potassium trifluoroborates are a special class of organoboron reagents that offer several advantages over the corresponding boronic acids and esters in that they are moisture- and air-stable, and are remarkably compliant with strong oxidative conditions. The epoxidation of C=C bonds in unsaturated alkyl- or aryltrifluoroborates proceeds with full conversion and selectivity, avoiding degradation of the boron functionality. Trifluoroborates are versatile coupling partners and are present as reagents in a vast array of C–C bond forming reactions (Scheme 1).1 We have partnered with Gary Molander at the University of Pennsylvania in a collaborative effort to provide trifluoroborate salts, thereby expanding the palette of available boron reagents for cross-coupling reactions.

Scheme 1.
Materials
References
To continue reading please sign in or create an account.
Don't Have An Account?