Comparative Performance of the MilliSentials™ Aliquoting Pipette Controller
Liquid Dispensing with Aliquoting Pipette Controllers
Repeated dispensing of a fixed volume of reagent or sample into multiple tubes, plates, or other vessels for storage or experimental analysis is a tedious and error-prone operation in laboratories, particularly when performed manually. Various liquid transfer devices have been developed to improve accuracy, ergonomic safety, reproducibility, and throughput, from micropipettes and pipette controllers to fully automated liquid handling systems. The MilliSentials™ Aliquoting Pipette Controller combines the automatic aliquoting function of a repeat pipettor with the basic functions of a standard pipette controller in a single device, without the cost of an expensive, fully automated system.
We evaluated the performance of the MilliSentials™ Aliquoting Pipette Controller against three similar devices. We dispensed replicates of various volumes of Milli-Q® water and measured accuracy, precision, and dispensing time. The MilliSentials™ controller achieved superior accuracy (0.10% error) and precision (1.3% CV) compared to other devices and dispensed aliquots faster. Its intuitive design, with features like a manual speed control dial and kickstand, further enhanced user comfort and workflow efficiency.
Assessing the Performance of Aliquoting Pipette Controllers
Instruments, Reagents, and Consumables
- MilliSentials™ Aliquoting Pipette Controller (Cat. No. MISEPTC0N)
- Aliquoting Pipette Controllers from Suppliers B, D, and E
- 25 mL serological pipette (Cat. No. CLS357515)
- 50 mL glass beaker (used as weighing vessel)
- Milli-Q® water
- Lab timer
- Calibrated Thermometer
- Barometer
- Analytical balance
Time-to-Aliquot
Aliquots of 2.0 mL or 2.5 mL volumes of Milli-Q® water were dispensed from a 25 mL serological pipette using the MilliSentials™ Aliquoting Pipette Controller and aliquoting pipette controllers from other suppliers. The time required to perform ten aliquots was recorded as the average of three trials for each device.
Accuracy and Precision
Ten aliquots of 2.0 mL Milli-Q® water were dispensed from a 25 mL serological pipette using the MilliSentials™ Aliquoting Pipette Controller set at speed 7 and aliquoting pipette controllers from other suppliers. Experiments were repeated three times (N=3) for each device. The mass of each aliquot was measured by dispensing directly into a tared 50 mL glass beaker on an analytical balance. The mean mass (Mavg) for the aliquots was determined using the equation:

…where Mi is the mass of individual weight measurements (g) and n is the number of measurements.
The mean volume (Vavg) for each aliquot was then calculated using the equation:

Accuracy, defined as percent error, was then determined using the following equation:

…where Vtarget is the target aliquot volume (2.0 mL).
Precision was determined using the following equation:

…where SD is the standard deviation, defined as:

Speed, Accuracy, Precision, and Usability
Aliquoting Speed
We first compared the time required to dispense ten aliquots of Milli-Q® water using each of the aliquoting pipette controllers included in the study. Two different aliquot volumes were tested: 2.0 mL and 2.5 mL. Overall, the MilliSentials™ Aliquoting Pipette Controller was fastest at dispensing multiple aliquots (Figure 1). When dispensing 2.0 mL aliquots, the device from Supplier D came in at a close second. When dispensing 2.5 mL aliquots, the MilliSentials™ Aliquoting Pipette Controller pronouncedly outperformed all devices from other suppliers. Notably, the MilliSentials™ Aliquoting Pipette Controller dispensed the ten aliquots at similar speeds for both 2.0 mL and 2.5 mL aliquot volumes.

Figure 1.Time required to dispense ten aliquots using various aliquoting pipette controllers. Three replicates were performed for each device. Data were plotted using GraphPad Prism 9.1.2. The MilliSentials™ Aliquoting Pipette Controller dispensed 2.0 mL aliquots as quickly as devices from Supplier D and Supplier B (motor assist delivery), and more quickly than devices from Supplier B (gravity delivery) and Supplier E. The MilliSentials™ Aliquoting Pipette Controller was markedly faster at dispensing 2.5 mL aliquots in comparison to all other devices.
Accuracy
To assess accuracy, we dispensed ten 2.0 mL aliquots with each device, replicated three times. The volume of each aliquot was determined from its mass. Figure 2 shows the measured volume for each individual aliquot (black symbols) across the three replicates for each device.

Figure 2.Dispensed volumes of Milli-Q® water calculated from the mass of each aliquot. Ten aliquots were dispensed in three replicates for each device. Data are shown as box plots with the calculated volumes for each of ten aliquots represented as black symbols using GraphPad Prism 9.1.2. These results indicate the MilliSentials™ Aliquoting Pipette Controller dispensed 2.0 mL aliquots with highest accuracy and highest precision, in comparison to other devices.
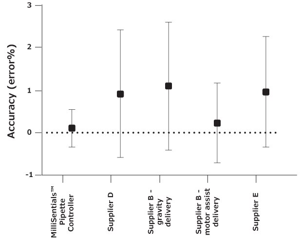
Accuracy was defined as the percent error, calculated by determining the difference between the mean volume and target volume (2.0 mL) for each of the three replicates, expressed as a percentage of the target volume. For this calculation, accuracy improves as the % error value approaches zero. Results indicate that the MilliSentials™ Aliquoting Pipette Controller was the most accurate of all the devices tested at dispensing the specified aliquot volume (Figure 3).

Figure 3.Accuracy (expressed as % error) in dispensing 2.0 mL aliquots. Ten aliquots were dispensed in three replicates for each device. The errors bars depict the standard deviation across the three replicates. Data were graphed using GraphPad Prism 9.1.2. The MilliSentials™ Aliquoting Pipette Controller dispensed 2.0 mL aliquots with highest accuracy (% error = 0.10 ± 0.44) in comparison to other devices.
Precision
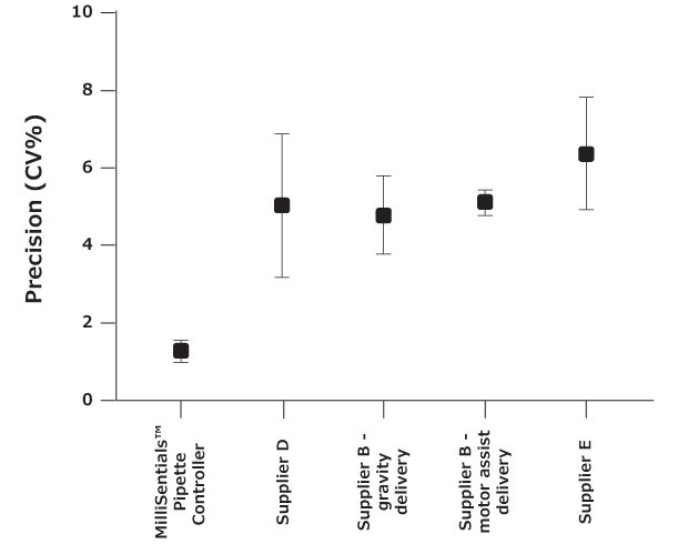
The precision of each device at dispensing 2.0 mL volume aliquots was then compared. Precision was determined as the coefficient of variation for each of three replicates of ten aliquots per device, expressed as a percentage. In this method, precision improves as the calculated value approaches zero. Results indicate that the MilliSentials™ Aliquoting Pipette Controller was the most precise of all the devices tested at dispensing the specified aliquot volume (Figure 4).

Figure 4.Precision in dispensing 2.0 mL aliquots. Ten aliquots were dispensed in three replicates for each device. The errors bars depict the standard deviation across the three replicates. Data were graphed using GraphPad Prism 9.1.2. The MilliSentials™ Aliquoting Pipette Controller dispensed 2.0 mL aliquots with highest precision (% CV = 1.27 ± 0.28) in comparison to other devices.
Usability
Devices such as aliquoting pipette controllers can be designed with features that enhance usability by making the device easier to manipulate, mitigating risk, or preventing user error. The MilliSentials™ Aliquoting Pipette Controller was developed with several such features including lightweight housing; a “kickstand” to prevent contamination when not actively in use; a quick dial for speed control; and extra options to set aliquoting volume without the need to perform mathematical calculations or closely monitor remaining volume. Additional features are indicated in Figure 5.

Figure 5.Features of the MilliSentials™ Aliquoting Pipette Controller. A) Speed dial, B) Battery LED, C) Status LED, D) Aliquot volume-set dial, E) Body/main housing, F) Kickstand, G) USB-C charging port, H) Aliquot button, I) Aspirate button, J) Dispense button, K) Wall mount, L) Nozzle insert, M) Membrane filter (0.22 µm PTFE membrane), N) Nozzle cover.
Summary
We compared the MilliSentials™ Aliquoting Pipette Controller to three similar devices on the market. A summary of the results is shown in Table 1. Overall, the MilliSentials™ Aliquoting Pipette Controller outperformed similar devices, aliquoting faster with better accuracy and precision while possessing features that enhance usability.
Related Products
To continue reading please sign in or create an account.
Don't Have An Account?