Skip to Content
MilliporeSigma
HomeCalibration, Qualification & ValidationCannabinoid Certified Reference Materials (CRMs) for an Improved Testing Accuracy and Traceability

Cannabinoid Certified Reference Materials (CRMs) for an Improved Testing Accuracy and Traceability

Sarah Aijaz, Sr. R&D Manager, Reference Materials, Zoe Ruan, Principal Scientist, Sunil Badal, Senior Scientist, Uma Sreenivasan, Head of Reference Materials R&D

MilliporeSigma

Article from Analytix Reporter - Issue 12

Abstract

Reference materials play a critical role in cannabis workflows. Your results are only as accurate as your reference material. We have developed a portfolio of cannabinoid Certified Reference Materials (CRMs) for use in calibration & quantitation, system suitability studies, and qualitative screening.

Introduction

The interest in cannabinoid quantitation or potency testing of marijuana and hemp continues to grow with the expanding commercialization of cannabis dietary supplements and recreational products. While most of the U.S. states have legalized marijuana for medical use and several for recreational use, it still remains federally illegal and is classified as a schedule 1 substance. The growing of hemp crops in the U.S. was federally legalized by the U.S. Agricultural Improvement Act of 2018, also known as the 2018 Farm Bill. The U.S. Department of Agriculture (USDA) final rule for hemp production published on January 19, 2021 requires the total Tetrahydrocannabinol (THC) content of plant material on a dried weight basis to be less than 0.3% for it to be legally defined as hemp. Total THC content is taken as the sum of Δ-9 THC and its biosynthetic precursor, Tetrahydrocannabinolic acid (THCA), as THC is the degradation product of THCA after its decarboxylation. A hemp producer must discard the entire lot if the sampled plant material contains more than 0.3% of THC resulting in potentially dire financial repercussions. Production of plant material containing more than 1% of total THC is defined as a negligent violation and could result in suspension or revocation of the producer’s USDA license to grow hemp. These implications underscore the importance of accurate cannabinoid analytical testing. However, the final rule does acknowledge the importance of analytical variability and requires testing laboratories to report the measurement of uncertainty (MU) associated with the THC test results, in order to allow the “acceptable hemp THC level” to account for the MU.1

In the interim final rule (IFR), the Agricultural Marketing Service (AMS) requested inputs on the potential requirements for hemp testing laboratories to obtain ISO/IEC 17025 accreditation. However, the requirement was not included in the final rule due to the comments citing insufficient laboratory capacity currently available to accommodate all the needed hemp testing. Labs are required to meet certain standards of performance and use test methods that are fit-for-purpose, however currently there is no federal laboratory approval process in place and the state requirements vary widely. The allowed analytical test methodologies are GC-FID or HPLC with either UV or MS detection, and the methods must meet the AOAC Standard Method Performance Requirements 2019.003.2 AOAC has published official method 2018.11 for the quantification of cannabinoids in plant materials, that has undergone a rigorous approval process and is accepted as a highly credible method.3 The United States Pharmacopeia (USP) has noted the need for increased quality control and harmonized practices in cannabis testing for medical purposes and has published important quality attribute considerations to aid in addressing these gaps.4 NIST offers a cannabis quality assurance program similar to a proficiency test to help laboratories evaluate their testing comparability and competence.5 Even with these guidelines and resources in place, the industry has acknowledged the continued problem of inconsistent results obtained from different laboratories.

The accuracy of a testing laboratory’s calibration standards is a critical factor that directly impacts the accuracy of the test results. The labs must manufacture or purchase a suitable raw material or solution-based reference material for use as a calibrator. Availability of cannabinoid Certified Reference Materials (CRMs) allows testing laboratories to make cost-effective in-house calibrators, traceable to the CRMs, thereby contributing to a higher level of test accuracy and reproducibility.

ISO 17034 - specific to reference material producers and ISO/IEC 17025 - specific to testing laboratories provide standardization to the manufacturing and testing of CRMs. CRMs are considered to have the highest level of accuracy and traceability to the SI unit of measurement for of all the materials manufactured by ISO accredited producers.6,7 There is a selection of cannabis related reference standards offered by USP for medical use. But there are no cannabinoid reference standards manufactured by any national metrology institute. However, hemp plant and oil reference materials are currently being developed by NIST.5

We have designed and manufactured a portfolio of cannabinoid CRMs to support the cannabis testing industry. These products are offered as single or multiple analytes dissolved in an appropriate diluent and packaged in amber flame-sealed ampoules. Appropriate handling and process controls were put in place to ensure the analyte’s stability in storage and transit. The concentration of each analyte is certified in accordance with ISO 17034 and ISO/IEC 17025. The concentration uncertainty is calculated and reported along with the certified concentration in the accompanying certificate of analysis (CoA). The cannabis testing laboratories should propagate this value of unexpanded uncertainty in their own method’s uncertainty calculations.

Manufacturing and Certification of Cannabinoid CRMs

The cannabinoid raw materials used to prepare Cerilliant® CRMs were all synthesized in-house and certified by a predetermined test plan designed in accordance with ISO 17034 and ISO/IEC 17025. The identity of each cannabinoid was verified by 1H-NMR and high-resolution liquid chromatography-mass spectrometry (LC-MS). The potency or mass fraction of each raw material was assigned as a mass balance purity factor (MBPF), calculated by subtraction of the mass of impurities from the mass of the analyte using Equation 1. Impurities were determined through a range of techniques accounting for those that are volatile, inorganic, and organic. The residual water content was determined by Karl Fischer coulometry. While other residual volatile content was determined by headspace gas chromatography with flame ionization detection (HS-GC-FID), the residual inorganic content was determined by residue on ignition (sulfated ash).

Organic impurities were determined by high performance liquid chromatography with ultraviolet detection (HPLC-UV) and reported as the average of two orthogonal methods. Orthogonal selectivity of the two methods was established through different chromatographic stationary and mobile phases. GC-FID was used as a confirmatory technique for analysis of organic impurities wherever appropriate. In some cases, quantitative 1H-NMR was also used as a confirmatory technique to MBPF.

Mass balance purity factor calculation.

Equation 1.Mass balance purity factor calculation.

Where:

wt% Solvents = residual solvent content with uncertainty, uOVI
wt% H2O = residual water content with uncertainty, uKF
wt% Inorganics = residual inorganic content with uncertainty, uROI
ChromPurity = Chromatographic purity with uncertainty, ucp

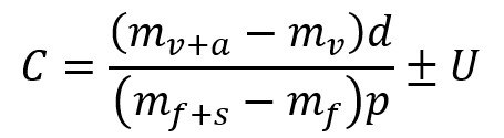
Formulation studies were performed to determine appropriate handling techniques, storage conditions, suitable concentrations and diluents for the proposed products. The final CRM designs were based on the results of the formulation studies. Each solution was prepared by gravimetric measurement of the analyte(s) and diluent with the concentration determined by Equation 2, using the actual measured mass, purity adjustment of the analyte(s), measured mass of the solution, and density of the pure diluent at 20 °C. For viscous, glassy, or hard-to-handle raw materials, a stock solution was made and analytically verified prior to the final dilution. All mass measurements are traceable to the International System of Units (SI) through qualified and calibrated analytical balances and were reported on the conventional basis for weighing in air. The mass of each solution was converted to volume by dividing the mass by the density of the solution. Density measurements were made on a density meter and are traceable to higher order standards through calibration. The prepared concentration of each analyte is reported in units of mass per volume, with expanded uncertainty and specified confidence interval. The solutions were dispensed into amber ampoules with a fill volume of not less than 1 mL and flame sealed under argon.

Certified concentration calculation for gravimetrically prepared CRM.

Equation 2.Certified concentration calculation for gravimetrically prepared CRM.

Where:

C = Certified Property Value, concentration of analyte in solution in units of mass/volume
mv+a = mass of analyte + vial
mv = mass of empty vial
mf+s = mass of flask + solvent
mf = mass of empty flask
d = density of solution
p = purity adjustment, 100/mass balance purity factor (for the analyte)
U = the assigned combined expanded measurement uncertainty

The concentration, homogeneity, and purity of each CRM was verified through HPLC-UV analytical testing. Sealed ampoules were selected for testing from across the batch based on a random weighted stratified sampling plan, with a higher percentage of samples taken at critical process points. The concentration was verified by comparison to an independently prepared calibration solution and calculated as the average of replicate analyses of samples. Within and between ampoules homogeneity was verified through relative standard deviation of the replicate analyses of samples. The accuracy and homogeneity acceptance criteria included allowances for uncertainty contributions from the analytical measurement, and variability from transfer and evaporative loss during preparation of samples for analysis.

Short-term transit stability was established through temperature stress studies performed at freezer (-25 to -10 °C), refrigerator (2-8 °C), room temperatures (15-30 °C) and a stressed temperature (40 °C +/-2 °C). One ampoule of each solution standard was removed from each storage condition at specified time points and moved to sub-freezer storage until analysis. The ampoules stored at stressed temperatures were evaluated for purity and/or concentration by HPLC-UV.

Long-term stability of the CRMs was assessed for 14 months following their manufacture. This was done using HPLC-UV analysis for real-time studies of solution purity and concentration. These studies are subsequently carried out for the entire shelf life of the product.

Results and Discussion

The ISO defines a reference material (RM) as a material that is homogenous, stable, and fit for its intended measurement use. A CRM must meet additional requirements to those for RMs. CRM characterization methods must be metrologically valid and traceable to the measurement unit of the certified property value.8 The ISO guides give some flexibility to the CRM manufacturers as to how they meet these requirements.

As a result, the certification process can vary widely among the manufacturers, from assigning a potency from a simple chromatographic purity to a comprehensive MBPF approach. Cannabis testing laboratories must be mindful of this and review the CRM’s certificate of analysis (CoA) to ensure it is fit for their intended use. Table 1 shows possible pitfalls associated with using only a chromatographic purity. The chromatographic purity of cannabinol is 99.5% but the potency assigned by MBPF to it is 96.0%― due to the presence of residual solvent and water.

In addition to the certification method, every CoA should include data to support stability during transit and long- term over the shelf life of the product. Figure 1A shows an example of a temperature stress study for an unstable prototype formulation, where we see a decrease of concentration with an increase in storage temperature and time. A final stable formulation of product C-218 was developed through optimized diluent selection, material handling, and formulation process controls. Figure 1B shows that the concentrations of all analytes in C-218 remain stable at multiple storage temperatures up to four weeks, with degradation only observed in the samples kept at 40 °C. Figure 1C shows the same accelerated stability data plotted as a line graph for two representative analytes, CBDA and THCA-A, with additional real-time stability shown up to 6 months. Continued real-time stability is assessed throughout the shelf life of the product.

Bar graphs depicting the temperature stress studies for an unstable prototype formulation showing a decrease in concentration with storage and time
Bar graphs depicting the temperature stress studies of a acidic cannabinoid mixture showing the change in concentration with time at various temperatures of freezing (-25 to -10 °C), refrigeration (2-8 °C), room temperature (15-30 °C), and 40 (±2) °C
Graph showing variation in concentration of CBDA and THCA-A over a period of 6 months at three different temperatures

Figure 1.Bar graphs depicting the temperature stress studies of a prototype (A) and finalized (B) acidic cannabinoid mixture with bars showing the change in concentration related to time stored at varied temperatures: fz: freezer (-25 to -10 °C), R: refrigerate (2-8 °C), RT: room temperature (15-30 °C) and 40 (±2) °C. The bottom graph (C) plots the change in concentration over six months of CBDA and THCA-A in cat. no. C-218 stored at varied temperatures.

A CRM CoA should report the method used to determine the measurement uncertainty. Figure 2 shows an example fishbone diagram for the sources of uncertainty associated with the certified concentration of a gravimetrically prepared solution standard. Equation 3 shows the calculation for propagation of uncertainty. The method used to calculate the uncertainty was established in accordance with ISO 17034 and ISO Guide 35 through identification of the production process variables and risks coupled with statistical analysis. Uncertainty is expressed as expanded uncertainty at the approximate 95% confidence interval using a coverage factor of k=2. It incorporates uncertainty of the purity factor, material density, balance, weighing procedure, solution standard homogeneity, and stability. The uncertainty of the certified concentration is stated in the CoA in terms of mass per volume.

Fishbone diagram showing the contributions of measurement uncertainty on the certified concentrations of a gravimetrically prepared standard solutions

Figure 2.Fishbone diagram of the contributions of measurement uncertainty for the certified concentration.

Uncertainty calculation for the certified concentration of a CRM including homogeneity and stability terms.

Equation 3.Uncertainty calculation for the certified concentration of a CRM including homogeneity and stability terms.

ucert = Standard uncertainty of the Certified Property Value
uchar = Standard uncertainty of the solution standard preparation and includes upf for characterization of the analyte mass balance purity factor(pf), um for mass measurements, and ud for the solvent density.

ubb = Standard uncertainty of between bottle homogeneity
ustab = Standard uncertainty of stability

Determining the uncertainty value for a CRM incorporates technical studies on all aspects of a solution standard preparation process, including mass measurement, density measurement, verification, homogeneity, and stability. The studies incorporate replicate measurements under different process conditions and establish standard uncertainties for the density and mass measurements. The studies also provide validated process controls for weighing and dispensing. Homogeneity uncertainty contributions are assessed through statistical analysis of concentration accuracy data for samples pulled at critical timepoints during the dispensing of a given lot. Stability uncertainty contributions are assessed from temperature stressed or real-time stability data.

CRMs may be used for identification, quantitation, system suitability and method control. Figure 3 shows an example of a CRM dilution scheme to achieve a standard containing seventeen cannabinoids. This can initially be used as a screening tool to evaluate the presence or absence of cannabinoids in samples. Once the cannabinoids of interest are identified, the mixture can be diluted into a calibration curve spanning the expected concentration range of the constituents and used for quantitation. Alternatively, single analyte CRMs can be used to prepare the calibration curves. Example HPLC-UV chromatograms of the 17-cannabinoid mix prepared from 5 CRMs (cat. nos. C-218, C-219, C-153, C-154 and C-171) and hemp bud extract are compared in Figure 3.

Dilution scheme of Cerilliant CRMs to produce a 17 cannabinoid mix and its HPLC-UV chromatogram comparison with a hemp bud extract chromatogram acquired with rapid gradient method

Figure 4 illustrates the use of our Hemp Compliance Mix (C-217) as a system suitability test to ensure method performance for detection of THC at the maximum allowed level of 0.3%. A separate solution containing 5 µg/mL of cannabidiolquinone (CBDQ) was run using the same method. CBDQ is one of the oxidation degradants of CBD. The overlaid chromatograms show baseline separation of THC and CBDQ by this method. If other cannabinoids or impurities coelute with THC, errors in quantitation will result. It is thus important to routinely check method performance using a mix formulated specifically for this purpose, such as illstrated in Figure 4.

Overlay of HPLC-UV chromatograms of C-217 hemp compliance mix and a sample containing CBDQ showing resolution between THC and CBDQ

Figure 4.Overlay of HPLC-UV chromatograms of C-217 hemp compliance mix and a sample containing CBDQ showing resolution between THC and CBDQ.

Conclusion

We have developed CRMs of individual cannabinoids as well as mixes. These can be used for potency profiling of both hemp and cannabis. Specifically, our Hemp Compliance Mix was formulated to simplify standards preparation for analysis of THC content in hemp. Using rigorous process controls and formulation studies as described here, we formulated stable cannabinoid mixtures. Our optimized raw material and packaging processes protect cannabinoids from oxidation, thus producing CRMs with long term stabilities. With the variability in testing methods and accreditation across laboratories, the use of accurate and traceable and properly certified CRMs is critical.

Multicomponent Solutions

Loading

Materials

Loading

References

1.
2021. Establishment of a Domestic Hemp Production Program. [Internet]. 86 FR 5596, 5596-5691: Fed. Regist. Available from: https://www.federalregister.gov/d/2021-00967
2.
AOAC SMPR® 2019.003 Standard Method Performance Requirements (SMPRs) for Quantitation of Cannabinoids in Plant Materials of Hemp (Low THC Varieties Cannabis sp.). [Internet]. AOAC SMPR. Available from: https://www.aoac.org/wp-content/uploads/2019/10/SMPR-2019_003.pdf
3.
AOAC 2018.11-2018 Quantitation of Cannabinoids in Cannabis Dried. AOAC Official Method.. [Internet]. AOAC Official Method of Analysis: Available from: http://www.aoacofficialmethod.org/index.php?main_page=product_info&products_id=3017
4.
Sarma ND, Waye A, ElSohly MA, Brown PN, Elzinga S, Johnson HE, Marles RJ, Melanson JE, Russo E, Deyton L, et al. 2020. Cannabis Inflorescence for Medical Purposes: USP Considerations for Quality Attributes. J. Nat. Prod.. 83(4):1334-1351. https://doi.org/10.1021/acs.jnatprod.9b01200
5.
NIST Tools for Cannabis Laboratory Quality Assurance. May 1, 2019:[cited 10 Oct 2021]. Available from: https://www.nist.gov/programs-projects/nist-tools-cannabis-laboratory-quality-assurance
6.
ISO 17034:2016. General requirements for the competence of reference material producers. ISO. [Internet]. Available from: https://www.iso.org/standard/29357
7.
ISO/IEC 17025:2017. General requirements for the competence of testing and calibration laboratories. ISO. [Internet]. Available from: https://www.iso.org/standard/66912.html
8.
ISO Guide 30:2015. Reference materials — Selected terms and definitions. ISO. [Internet]. Available from: https://www.iso.org/standard/46209.html
Sign In To Continue

To continue reading please sign in or create an account.

Don't Have An Account?