Skip to Content
MilliporeSigma
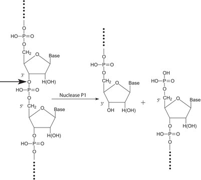
Nuclease P1 from Penicillium citrinum lyophilized powder, ≥200 units/mg protein (E1%/280, 3′-5′-Phosphodiesterase)

Nuclease P1 from Penicillium citrinum

Nuclease P1 from Penicillium citrinum lyophilized powder, ≥200 units/mg protein (E1%/280, 3′-5′-Phosphodiesterase)
Synonym(s):
Endonuclease P1
CAS Number:

Products

Product Category
Brand
Biological Source
Physical Form
Quality Segment
Application
Package Size
Technique