
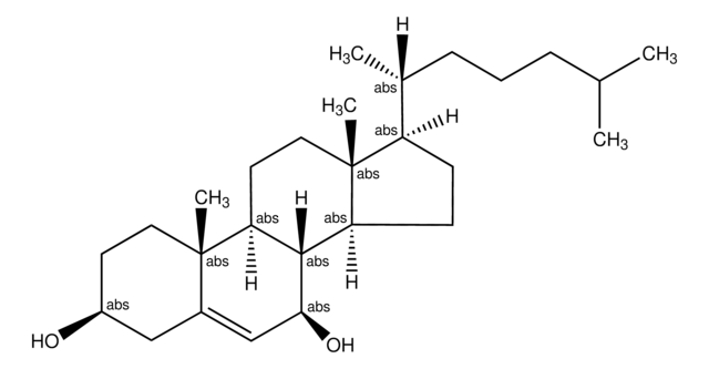
7β-Hydroxycholesterol

Synonym(s):
5-Cholestene-3β,7β-diol
Empirical Formula (Hill Notation):
C27H46O2
CAS Number:
Molecular Weight:
402.65
Products
Shipping
Product Category
Brand
Formula Weight
Physical Form
Purity
Quality Segment
Functional Group
Showing 1-1 of 1
Compare
Product Number
Description
Pricing