Skip to Content
MilliporeSigma

P6354

Sigma-Aldrich

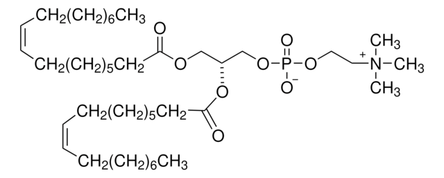
1,2-Dioleoyl-sn-glycero-3-phosphocholine

lyophilized powder

Synonym(s):

PC, 1,2-Di(cis-9-octadecenoyl)-sn-glycero-3-phosphocholine, 3-sn-Phosphatidylcholine, 1,2-dioleoyl, L-α-Phosphatidylcholine, dioleoyl, L-β,γ-Dioleoyl-α-lecithin, DOPC

Sign Into View Organizational & Contract Pricing

Select a Size


About This Item

Empirical Formula (Hill Notation):
C44H84NO8P
CAS Number:
Molecular Weight:
786.11
Beilstein/REAXYS Number:
3898070
EC Number:
MDL number:
UNSPSC Code:
51191904
PubChem Substance ID:
NACRES:
NA.25
Technical Service
Need help? Our team of experienced scientists is here for you.
Let Us Assist
Technical Service
Need help? Our team of experienced scientists is here for you.
Let Us Assist

biological source

synthetic (organic)

Quality Level

assay

≥99% (TLC)

form

lyophilized powder

functional group

phospholipid

lipid type

phosphoglycerides

shipped in

ambient

storage temp.

−20°C

SMILES string

[O-]P(OCC[N+](C)(C)C)(OC[C@]([H])(OC(CCCCCCC/C=C\CCCCCCCC)=O)COC(CCCCCCC/C=C\CCCCCCCC)=O)=O

InChI

1S/C44H84NO8P/c1-6-8-10-12-14-16-18-20-22-24-26-28-30-32-34-36-43(46)50-40-42(41-52-54(48,49)51-39-38-45(3,4)5)53-44(47)37-35-33-31-29-27-25-23-21-19-17-15-13-11-9-7-2/h20-23,42H,6-19,24-41H2,1-5H3/b22-20-,23-21-/t42-/m1/s1

InChI key

SNKAWJBJQDLSFF-NVKMUCNASA-N

Looking for similar products? Visit Product Comparison Guide

Application

1,2-Dioleoyl-sn-glycero-3-phosphocholine has been used for the reconstitution of proteoliposome (PL). It has also been used in the preparation of lipid vesicles.

Packaging

Packaged under Argon

Storage Class

11 - Combustible Solids

wgk_germany

WGK 3

flash_point_f

Not applicable

flash_point_c

Not applicable

ppe

Eyeshields, Gloves, type N95 (US)


Choose from one of the most recent versions:

Certificates of Analysis (COA)

Lot/Batch Number

Don't see the Right Version?

If you require a particular version, you can look up a specific certificate by the Lot or Batch number.

Already Own This Product?

Find documentation for the products that you have recently purchased in the Document Library.

Visit the Document Library

Arman Fathizadeh et al.
The journal of physical chemistry. B, 123(31), 6792-6798 (2019-07-16)
We investigate membrane permeation by the peptide WKW that is amidated at its C-terminus and therefore carries a positive charge of +2. To facilitate an efficient calculation, we introduce a novel set of simple coarse variables that measure permeation depth
Hydrodynamic lift of vesicles under shear flow in microgravity
Callens N, et al.
EPL, 83(2), 24002-24002 (2008)
Recombinant form of mammalian gp91phox is active in the absence of p22phox
Ezzine A, et al.
The Biochemical Journal, 462(2), 337-345 (2014)
Camila Fabiano de Freitas et al.
Colloids and surfaces. B, Biointerfaces, 181, 837-844 (2019-06-30)
Liposomes are membrane models and excellent Drug Delivery Systems. However, their preparation is expensive, labor intensive, time consuming, and sometimes toxic. Recently, we published an innovative methodology for the production of homogeneous Small Unilamellar Vesicles (SUV) through a simple, fast
Lu Huang et al.
PLoS biology, 15(8), e2001750-e2001750 (2017-08-19)
As the central hub of the metabolism machinery, the mammalian target of rapamycin complex 2 (mTORC2) has been well studied in lymphocytes. As an obligatory component of mTORC2, the role of Rictor in T cells is well established. However, the

Articles

By altering the physicochemical properties, smart or intelligent drug delivery systems can be designed to deliver therapeutic molecules on-demand. Learn more about the application of stimuli-responsive materials in drug delivery.

Our team of scientists has experience in all areas of research including Life Science, Material Science, Chemical Synthesis, Chromatography, Analytical and many others.

Contact Technical Service