Skip to Content
MilliporeSigma

G1264

Sigma-Aldrich

Gentamicin sulfate salt

powder, non-animal origin, suitable for cell culture, BioReagent

Synonym(s):

Gentiomycin C

Sign Into View Organizational & Contract Pricing

Select a Size


About This Item

CAS Number:
EC Number:
MDL number:
UNSPSC Code:
12352207
eCl@ss:
42020823
PubChem Substance ID:
NACRES:
NA.76
Technical Service
Need help? Our team of experienced scientists is here for you.
Let Us Assist
Technical Service
Need help? Our team of experienced scientists is here for you.
Let Us Assist

Product Name

Gentamicin sulfate salt, powder, BioReagent, suitable for cell culture

biological source

Micromonospora purpurea

Quality Level

product line

BioReagent

form

powder

potency

~600 μg Gentamicin per mg

technique(s)

cell culture | mammalian: suitable

color

white to off-white

antibiotic activity spectrum

Gram-negative bacteria
Gram-positive bacteria
mycoplasma

mode of action

protein synthesis | interferes

storage temp.

2-8°C

SMILES string

O=S(O)(O)=O.O[C@]1(C)[C@@H]([C@@H](O)[C@@H](O[C@@H]2[C@@H](O)[C@H](O[C@H]3O[C@@](CC[C@H]3N)([C@@H](C)NC)[H])[C@@H](N)C[C@H]2N)OC1)NC.O[C@]4(C)[C@@H]([C@@H](O)[C@@H](O[C@@H]5[C@@H](O)[C@H](O[C@H]6O[C@@](CC[C@H]6N)([C@@H](C)N)[H])[C@@H](N)C[C@H]5N)OC4)NC.O[

InChI

1S/C21H43N5O7.C20H41N5O7.C19H39N5O7.H2O4S/c1-9(25-3)13-6-5-10(22)19(31-13)32-16-11(23)7-12(24)17(14(16)27)33-20-15(28)18(26-4)21(2,29)8-30-20;1-8(21)12-5-4-9(22)18(30-12)31-15-10(23)6-11(24)16(13(15)26)32-19-14(27)17(25-3)20(2,28)7-29-19;1-19(27)7-28-18(13(26)16(19)24-2)31-15-11(23)5-10(22)14(12(15)25)30-17-9(21)4-3-8(6-20)29-17;1-5(2,3)4/h9-20,25-29H,5-8,22-24H2,1-4H3;8-19,25-28H,4-7,21-24H2,1-3H3;8-18,24-27H,3-7,20-23H2,1-2H3;(H2,1,2,3,4)/t9-,10-,11+,12-,13+,14+,15-,16-,17+,18-,19-,20-,21+;8-,9-,10+,11-,12+,13+,14-,15-,16+,17-,18-,19-,20+;8-,9+,10-,11+,12-,13+,14+,15-,16+,17+,18+,19-;/m110./s1

InChI key

RDEIXVOBVLKYNT-HDZPSJEVSA-N

Looking for similar products? Visit Product Comparison Guide

Related Categories

General description

Chemical structure: aminoglycoside
Gentamicin, also known as gentiomycin C, is an aminoglycoside, which is naturally produced by Gram-negative bacteria. This antibiotic functions by preventing protein synthesis. Gentamicin sulfate prevents the growth of both Gram positive and Gram negative bacteria, in vivo and in vitro. In tissue culture, gentamicin sulfate is used to inhibit the growth of various strains of mycoplasma.

Application

Gentamicin sulfate, a broad-spectrum antibiotic, has been used as a selection agent (gentamicin-resistance gene) in cell culture and molecular biology applications. This product is recommended for use at 50 mg/L.

Biochem/physiol Actions

Mode of action: Gentamicin causes codon misreading by binding to the 30S ribosomal subunit, blocking the translocation of peptidyl-tRNA from the acceptor site to the donor site. The bactericidal effect of gentamicin on Pseudomonas aeruginosa is exerted by the binding of gentamicin to the outer membrane, where it displaces natural cations, destabilizes the membrane, and forms holes in the cell surface.

Antimicrobial spectrum: Includes Gram-negative and Gram-positive bacteria, including strains resistant to tetracycline, chloramphenicol, kanamycin and colistin, particularly strains of Pseudomonas, Proteus, Staphylococcus and Streptococcus.

Analysis Note

Solubility- freely soluble in water, practically insoluble in ethanol

Other Notes

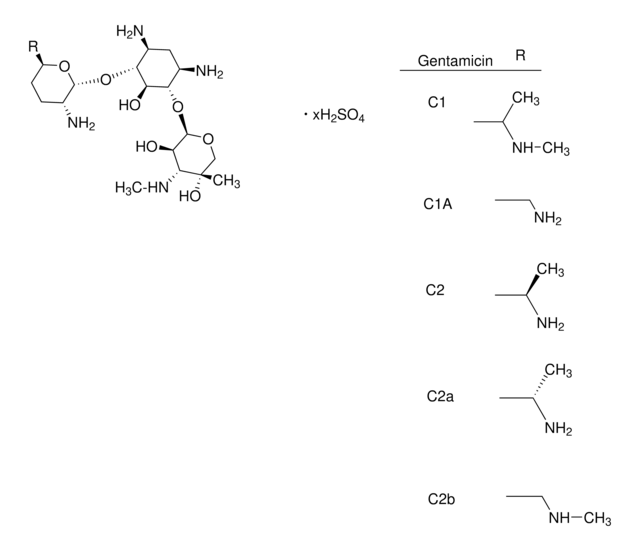
Gentamicin is an aminoglycoside complex produced by fermentation of Micromonospora purpurea or M. echinospora. It is used as the sulfate salt. There are three components, each consisting of five basic nitrogens and requiring five equivalents of sulfuric acid per mole of gentamicin base.

Disclaimer

Sterile solutions should be stored at 2-8°C. Solutions have also been shown to be stable at room temperature and in boiling aqueous buffers of pH 2-142.

pictograms

Exclamation mark

signalword

Warning

hcodes

Hazard Classifications

Skin Sens. 1

Storage Class

11 - Combustible Solids

wgk_germany

WGK 2

flash_point_f

Not applicable

flash_point_c

Not applicable

ppe

dust mask type N95 (US), Eyeshields, Faceshields, Gloves


Choose from one of the most recent versions:

Certificates of Analysis (COA)

Lot/Batch Number

Don't see the Right Version?

If you require a particular version, you can look up a specific certificate by the Lot or Batch number.

Already Own This Product?

Find documentation for the products that you have recently purchased in the Document Library.

Visit the Document Library

David Gur et al.
Frontiers in microbiology, 9, 741-741 (2018-05-10)
Pneumonic plague is an infectious disease characterized by rapid and fulminant development of acute pneumonia and septicemia that results in death within days of exposure. The causative agent of pneumonic plague, Yersinia pestis (Y. pestis), is a Tier-1 bio-threat agent.
R J Collier et al.
Journal of animal science, 84 Suppl, E1-13 (2006-04-04)
Selecting domestic animals for tolerance to thermal stress (TS) has been counterproductive, because acclimation involves reducing or diverting metabolizable energy from production to balance heat gain and loss. Ideally, simultaneous selection for increased production and improved thermotolerance is desirable, but
Jianping Liu et al.
PloS one, 10(3), e0120612-e0120612 (2015-03-21)
In addition to cochleotoxicity, systemic aminoglycoside pharmacotherapy causes vestibulotoxicity resulting in imbalance and visual dysfunction. The underlying trafficking routes of systemically-administered aminoglycosides from the vasculature to the vestibular sensory hair cells are largely unknown. We investigated the trafficking of systemically-administered
Hongzhe Li et al.
PloS one, 6(4), e19130-e19130 (2011-05-10)
Exposure to intense sound or high doses of aminoglycoside antibiotics can increase hearing thresholds, induce cochlear dysfunction, disrupt hair cell morphology and promote hair cell death, leading to permanent hearing loss. When the two insults are combined, synergistic ototoxicity occurs
Meital Zilberman et al.
Acta biomaterialia, 22, 155-163 (2015-04-30)
Over the last decades, wound dressings have evolved from a crude traditional gauze dressing to tissue-engineered scaffolds. Many types of wound dressing formats are commercially available or have been investigated. We developed and studied hybrid bilayer wound dressings which combine

Articles

Antibiotic kill curve is a dose response experiment in which mammalian cells are subjected to increasing amounts of selection antibiotic

Protocols

3-D Culture Matrix™ Mouse Laminin I may be used as a gel or as a media additive to study cellular growth and differentiation in three dimensions in vitro.

Cultrex® Basement Membrane Extract (BME) is a soluble form of basement membrane purified from Engelbreth-Holm-Swarm (EHS) tumor.

Our team of scientists has experience in all areas of research including Life Science, Material Science, Chemical Synthesis, Chromatography, Analytical and many others.

Contact Technical Service