Select a Size
About This Item
Product Name
G 418 disulfate salt, powder, BioReagent, suitable for cell culture
product line
BioReagent
Quality Level
form
powder
optical activity
[α]/D (Specific Rotation: +104.4o (c=0.3% in H2O at 26oC))
potency
≥720 μg per mg (Dried basis)
mol wt
692.7
packaging
pkg of 1 g, pkg of 25 g, pkg of 5 g
technique(s)
cell culture | mammalian: suitable
color
white to off-white
solubility
H2O: 100 mg/mL (As a stock solution. Stock solutions should be stored at 2-8°C. Stable at 37°C for 8 days.)
antibiotic activity spectrum
Gram-negative bacteria
mode of action
protein synthesis | interferes
storage temp.
2-8°C
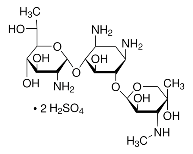
SMILES string
OS(O)(=O)=O.OS(O)(=O)=O.CN[C@H]1[C@H](O)[C@@H](OC[C@@]1(C)O)O[C@H]2[C@H](N)C[C@H](N)[C@@H](O[C@H]3O[C@H]([C@H](C)O)[C@@H](O)[C@H](O)[C@H]3N)[C@@H]2O
InChI
1S/C20H40N4O10.2H2O4S/c1-6(25)14-11(27)10(26)9(23)18(32-14)33-15-7(21)4-8(22)16(12(15)28)34-19-13(29)17(24-3)20(2,30)5-31-19;2*1-5(2,3)4/h6-19,24-30H,4-5,21-23H2,1-3H3;2*(H2,1,2,3,4)/t6?,7-,8+,9+,10+,11-,12-,13-,14+,15+,16-,17-,18+,19-,20+;;/m0../s1
InChI key
UHEPSJJJMTWUCP-NKCAIAFTSA-N
General description
Application
Biochem/physiol Actions
Preparation Note
Other Notes
Disclaimer
Still not finding the right product?
Explore all of our products under G 418 disulfate salt
signalword
Danger
hcodes
Hazard Classifications
Resp. Sens. 1 - Skin Sens. 1
Storage Class
11 - Combustible Solids
wgk
WGK 3
ppe
Eyeshields, Gloves, type N95 (US)
Choose from one of the most recent versions:
Already Own This Product?
Find documentation for the products that you have recently purchased in the Document Library.
Protocols
Stem Cell protocols for cryopreservation, thawing of cryopreserved stem cells and media preparation.
Determine optimal antibiotic concentration for stable cell lines, ensuring efficient selection in transduced cells.
Articles
Antibiotic kill curve is a dose response experiment in which mammalian cells are subjected to increasing amounts of selection antibiotic
Related Content
Product Information Sheet
Product Information Sheet
Global Trade Item Number
| SKU | GTIN |
|---|---|
| A1720-1G | 04061835507191 |
| A1720-25G | 04061835567997 |
| A1720-5G | 04061835507207 |
