Skip to Content
MilliporeSigma

Y0001585

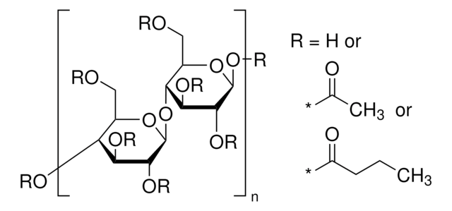
Cellulose acetate butyrate

European Pharmacopoeia (EP) Reference Standard

Sign In to View Organizational & Contract Pricing.

Select a Size

Change View

About This Item

CAS Number:
UNSPSC Code:
41116107
NACRES:
NA.24
MDL number:
Technical Service
Need help? Our team of experienced scientists is here for you.
Let Us Assist


grade

pharmaceutical primary standard

API family

cellulose acetate

manufacturer/tradename

EDQM

refractive index

n20/D 1.475 (lit.)

density

1.25 g/mL at 25 °C (lit.)

application(s)

pharmaceutical (small molecule)

format

neat

storage temp.

2-8°C

SMILES string

O5[C@H]([C@@H]([C@H]([C@@H]([C@H]5COC(=O)CCC)OC(=O)CCC)OC(=O)CCC)OC(=O)CCC)O[C@@H]6[C@H](O[C@H]([C@@H]([C@H]6OC(=O)CCC)OC(=O)CCC)OC(=O)CCC)COC(=O)CCC.O3[C@H]([C@@H]([C@H]([C@@H]([C@H]3COC(=O)C)OC(=O)C)OC(=O)C)OC(=O)C)O[C@@H]4[C@H](O[C@H]([C@@H]([C@H]4OC(=

InChI

1S/C44H70O19.C28H38O19.C12H22O11/c1-9-17-29(45)53-25-27-37(57-31(47)19-11-3)39(58-32(48)20-12-4)42(61-35(51)23-15-7)44(56-27)63-38-28(26-54-30(46)18-10-2)55-43(62-36(52)24-16-8)41(60-34(50)22-14-6)40(38)59-33(49)21-13-5;1-11(29)37-9-19-21(39-13(3)31)23(40

InChI key

WGKMZYZRLDSCLX-OLZTYWLQSA-N

General description

This product is provided as delivered and specified by the issuing Pharmacopoeia. All information provided in support of this product, including SDS and any product information leaflets have been developed and issued under the Authority of the issuing Pharmacopoeia.For further information and support please go to the website of the issuing Pharmacopoeia.

Application

Cellulose acetate butyrate EP Reference standard, intended for use in laboratory tests only as specifically prescribed in the European Pharmacopoeia.

Packaging

The product is delivered as supplied by the issuing Pharmacopoeia. For the current unit quantity, please visit the EDQM reference substance catalogue.

Other Notes

Sales restrictions may apply.


Still not finding the right product?

Explore all of our products under Cellulose acetate butyrate


Storage Class

11 - Combustible Solids

wgk

nwg

flash_point_f

Not applicable

flash_point_c

Not applicable



Choose from one of the most recent versions:

Certificates of Analysis (COA)

Lot/Batch Number

It looks like we've run into a problem, but you can still download Certificates of Analysis from our Documents section.

If you need assistance, please contact Customer Support

Already Own This Product?

Find documentation for the products that you have recently purchased in the Document Library.

Visit the Document Library



Global Trade Item Number

SKUGTIN
Y000158504061833808733