Select a Size
About This Item
grade
pharmaceutical primary standard
API family
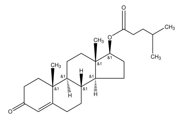
testosterone
manufacturer/tradename
EDQM
drug control
regulated under CDSA - not available from Sigma-Aldrich Canada
application(s)
pharmaceutical (small molecule)
format
neat
storage temp.
2-8°C
SMILES string
[H][C@@]12CCC3=CC(=O)CC[C@]3(C)[C@@]1([H])CC[C@]4(C)[C@H](CC[C@@]24[H])OC(=O)CCC(C)C
InChI
1S/C25H38O3/c1-16(2)5-10-23(27)28-22-9-8-20-19-7-6-17-15-18(26)11-13-24(17,3)21(19)12-14-25(20,22)4/h15-16,19-22H,5-14H2,1-4H3/t19-,20-,21-,22-,24-,25-/m0/s1
InChI key
PPYHLSBUTAPNGT-BKWLFHPQSA-N
General description
Application
Packaging
Other Notes
Still not finding the right product?
Explore all of our products under Testosterone isocaproate
signalword
Warning
hcodes
Hazard Classifications
Acute Tox. 4 Oral - Aquatic Acute 1 - Aquatic Chronic 1 - Carc. 2 - Repr. 2
Storage Class
11 - Combustible Solids
wgk
WGK 3
flash_point_f
Not applicable
flash_point_c
Not applicable
Choose from one of the most recent versions:
Already Own This Product?
Find documentation for the products that you have recently purchased in the Document Library.
Global Trade Item Number
| SKU | GTIN |
|---|---|
| T0260000 | 04061833794166 |


